| CATEGORII DOCUMENTE |
| Comunicare | Marketing | Protectia muncii | Resurse umane |
1.Premise In recenta sa carte intitulata You can't talk to me that way! Stopping Toxic language in the Workplace (2005), specialistul american in comunicare Arthur H. Bell, analizand in detaliu situatiile conflictuale in mediu organizational si posibilitatile lor de rezolvare, scrie: "Cand are loc un atac verbal, se creeaza imediat scenariul conflictului dintre personajele positive si cele negative, dintre calai si victime (s.n.).Aliantele se formeaza rapid si se schimba la fel de rapid, iar problema cu privire la "de care parte esti?" devine preocuparea centrala a zilei. Si, brusc, toti dau in mintea copiilor de scoala generala." Definind abuzul verbal in context organizational ca "deviere" de la norma comportamental lingvistica social acceptabila si scotand in evidenta tehnicile specifice de neutralizare a agresivitatii verbale (a sefilor, clientilor sau colegilor), Bell se sprijina pe conceptele Analizei Tranzactionale, teorie a comunicarii elaborata, asa cum vom vedea, tot de un american, Eric Berne, la mijlocul secolului trecut. De asemenea, autorul subliniaza ca orice tentativa de gestionare a conflictelor intraorganizationale care ignora cunoasterea tipurilor de personalitate are sanse mari sa esueze, deoarece diferitele trasaturi ale unor personalitati introvertite sau extravertite pot interactona impredictibil, dand nastere inevitabil la conflicte. Plecand de la aceste 2 tipuri fundamentale, Bell propune 8 caracteristici personologice principale (Op. cit., p. 113), dupa cum urmeaza: P- Partenerul; S - Singuraticul; J - Jonglerul (sau Descurcaretul); O - Organizatorul; G - Ganditorul; E - Empaticul; I - Incuiatul; C - Cercetatorul. Autorul propune si un instrument psihometric in acest sens, un test (Op. cit., p. 102-113) de autoevaluare pentru identificarea propriilor tendinte ale personalitatii.
Perspectiva teoretica generala a unei relatii de comunicare interpersonale, de tip fata in fata risca adesea sa separe in mod artificial limbajul de personalitate (aceasta constituind, in cele din urma, suportul lui fundamental), si personalitatea de situatie, de context: "Daca nu exista personalitate in afara situatiei, este in egala masura adevarat ca nu exista situatie separata de personalitate. Impulsul situatiei este, totusi, atat de puternic, incat trebuie sa privim personalitatea ca pe o entitate sau structura niciodata fixe, ca un sistem complex de serii potentiale de comportamente care pot fi provocate (in limitele posibilitatii unei persoane) de diferite conditii fizice, sociale si culturale care o inconjoara in orice moment.(s.n.)"
Analizand rolul trasaturilor de personalitate in contextul situational - in special cel de comunicare interpersonala - G.W.Allport (Pattern and Grouwth in Personality) subliniaza ca influenta acestor trasaturi este mai mare in situatiile informale, nestructurate, unde sarcina incredintata grupului consta mai degraba intr-o discutie libera, decat intr-o actiune:"Trasaturile personale sunt mai putin importante cand sarcina nu e de natura verbala, ci priveste o problema mecanica sau tehnica. (.) Factorii situationali determinanti sunt cei mai importanti acolo unde obligatiile si rolurile sunt net prescrise. Factorii personali determinanti sunt mai importanti acolo unde sarcina este mai libera, mai deschisa si nestructurata. (s.n.)"
Personolog de prima marime, Allport afirma ca, in ceea ce priveste ponderea factorilor de personalitate in interiorul relatiei de comunicare, natura verbala a interactiunii amplifica rolul trasaturilor personale, acest rol diminuand in situatii net prescrise, formale, de interactiune predominant mecanica. Autorul citeaza, in acest sens, si un experiment efectuat in cadrul unei teze de doctorat sustinute la Harvard (Psychological determinants of interpersonal behavior), experiment care pune in evidenta corelatia dintre trasaturile de personalitate ale unui individ si rolul acestuia in cadrul grupului: astfel, pozitia unei persoane in grup, ca si relatiile ei cu ceilalti membri ai grupului, depind direct de trasaturile masurate, care include: anxietatea, expresia extravertita a emotiei, agresivitatea, conformismul autoritar, optimismul etc.
Majoritatea specialistilor in comunicare cunosc faptul ca pacientii cuntulburari de relationare nu au nici o sansa de reabilitare in exteriorul unei relatii sociale determinate: contactul cu alte fiinte umane este, prin el insusi, terapeutic: "Daca incercam sa analizam evenimentele care intervin in cadrul unei situatii sociale, interactiunea dintre pacient si medic, ca si eforturile presupuse de influentarea celui dintai prin intermediul psihoterapiei, ajungem la concluzia ca aceste evenimente tin de domeniul comunicarii. Asadar, comunicarea este aceea care ne va oferi elementele terapeutice eficace ale psihoterapiei(s.n.)"
Tot despre rolul comunicarii interpersonale in structurarea identitatii - dar dintr-o alta perspectiva - vorbeste si G.Bateson, acesta punand in discutie, intr-un studiu epistemologic dedicat "gandirii psihiatrice," o ipostaza inedita a limbajului psihiatric: bogatia lexicului care descrie patologicul contrasteaza viu cu pauperitatea vocabularului referitor la starea de bine, de sanatate si echilibru; in opinia autorului, aceasta se datoreaza - partial - faptului ca fenomenele patologice sunt - privite din perspectiva psihiatriei -, in general, mai generale si mai repetitive decat cele ale normalitatii, limba inregistrand, de regula, fenomenele frecvente, in defavorea celor accidentale, conform cunoscutei teorii jakobsoniene a "democratiei limbajului": "La proprit prive, dans le domaine du langage, a n'existe pas !"."Daca ar fi eficace sa i se vorbeasca bolnavului de normalitate, limbajul psihiatric ar fi dezvoltat, cu siguranta, o terminologie bogata pentru acest tip de terapie educationala. Ca nu e asa, rezulta din diferite circumstante: (.) starea de sanatate catre care ar putea progresa un anume pacient are un caracter de unicitate care il priveste doar pe acesta; ceilalti pacienti au, fiecare, posibilitati specifice de evolutie. Limbajul poate inregistra numai fenomenele frecvente; el nu poate numi ceea ce este unic si, inca si mai putin, individualul, cu tot caracterul lui de singularitate si de evolutie complexa, ce face, inca, parte din viitor(s.n.). Extrapoland aceasta observatie la ansamblul limbajului, conectand-o la teoria generala a sistemelor (aplicabila, asa cum am vazut, domeniului comunicarii), si considerand, in consecinta, organismele ca pe niste "entitati autocorectoare", Bateson avanseaza ipoteza ca individul are nevoie in special de acel tip de informatii care sa-i ofere date asupra propiilor erori de adaptare si asupra conditiilor din realitatea exterioara care ii ameninta supravietuirea, ori ii provoaca disconfort: "Oricare ar fi domeniul vietii umane luat in considerare, exista un vocabular bogat pentru a descrie dorintele, insatisfactiile, neplacerile etc.: limbajul descrie la fel de abundent modul de corectare a acestor elemente. Insa, in orice sector al vietii, lipseste vocabularul de ansamblu, cuvintele care sa exprime starile de calm, de satisfactie, de destindere; lipsesc cuvintele care sa descrie conditiile satisfacatoare din lumea exterioara. O multime de expresii si de metafore te ajuta sa spui ca ti-e cald sau ti-e frig, dar, ca sa exprimi faptul ca temperatura corpului este chiar cea potrivita, exista prea putine cuvinte.(s.n.)." Aceasta generalizare oarecum exagerata la care recurge Bateson nu este insa lipsita de pertinenta; extinderea observatiilor autorului la limbajul cotidian se sprijina pe ipoteza includerii, printre functiile comunicarii, a celei catharctice, de descarcare a tensiunilor - acumulate intrapsihic - prin intermediul limbajului (functie pe care S. Freud o subordoneaza principiului placerii), ceea ce ar putea explica predominanta lexicului cotidian acoperind un camp semantic acaparat de descrierea patologicului, disconfortului, nefericirii, angoasei, anxietatii etc.; de altfel, asa cum stim, toate povestile se termina atunci cand nenorocirile eroilor iau sfarsit, fie in mod biologic - prin moarte-, fie prin accesul la fericire, resimtit ca lipsit de interes narativ ("no news, good news!"/"pas de nouvelles, bonnes nouvelles!"): intervalul post-happy-end-ul celebrat cu fast nu mai este descriptibil lingvistic ("Si au trait fericiti pana la adanci batraneti") sau, cu alte cuvinte, fericirea nu are istorie, ceea ce Tolstoi exprima remarcabil in prima fraza a romanului Anna Karenina: "Toate familiile fericite se aseamana intre ele. Fiecare familie nefericita, insa, este nefericita in felul ei."
Comentand impactul unei informatii confuze asupra individului, P.Watzlawick subliniaza - in How real is real? Communication, Disinformation, Confusion - ca insasi supravietuirea fiintelor umane poate depinde de informatia "convenabila sau neconvenabila" pe care acestea o receptioneaza din mediu; in "imensa retea de mesaje pe care o constituie lumea"- conform definitiei metaforice oferite de N.Wiener - perturbarea unui singur mesaj poate antrena imprevizibile catastrofe individuale sau colective: "Schimbul unor astfel de mesaje formeaza ceea ce noi numim comunicare. Cand unul din aceste mesaje este alterat, lasand, astfel, destinatarul intr-o stare de incertitudine, ia nastere o confuzie care provoaca emotii, mergand, in functie de imprejurari, de la simpla mahnire pana la angoasa profunda.(s.n.) In cazul relatiilor si interactiunilor umane, este foarte important sa inlesnesti intelegerea si sa micsorezi confuzia." Pe de alta parte, izolarea si, implicit, refuzul comunicarii interpersonale sunt denuntate, de majoritatea membrilor Scolii de la Palo Alto, si, ulterior, de Eric Berne, initiatorul Analizei Tranzactionale, ca avand un inalt potential auto-destructurant.
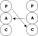
2. Eric Berne si Analiza Tranzactionala - incursiune diacronica. Eric Berne (pe numele intreg: Eric Leonnard Bernstein) s-a nascut la Montreal, Canada, in 1910, dintr-un tata evreu, medic generalist si o mama scriitoare. Foarte atasat de tatal sau, si insotindu-l des in vizitele medicale zilnice, Eric il pierde pe acesta cand avea 11 ani, mama sa fiind cea care il creste in continuare. In 1939, Eric a absolvit Facultatea de Medicina si imediat dupa aceea s-a mutat in SUA, orientandu-se spre Psihiatrie, schimbandu-si numele in Berne o data cu primirea cetateniei americane. In 1941 Berne incepe pregatirea in psihanaliza, iar in 1943, datorita razboiului, isi intrerupe activitatea si activeaza in Corpul Medical al Armatei SUA ca psihiatru, incepand sa practice terapia de grup. La sfarsitul razboiului primeste o sarcina interesanta: sa ofere suport soldatilor pentru o buna reintegrare in viata civila; Berne a facut din aceste scurte "interviuri" niste interactiuni mult mai interesante, incluzand o serie de experimente de dezvoltare a intuitiei. Parasind Armata in 1946 si stabilindu-se in California, Berne reincepe psihanaliza, de aceasta data cu Eric Erikson. Tot acum ii apare prima carte, Mind in action si care, revazuta si completata, va fi republicata in 1959, sub titlul Psihiatria si psihanaliza pe intelesul tuturor, si care contine un capitol consacrat Analizei Tranzactionale. In anii '50 Berne incepe o serie de seminarii, in cadrul carora colegi clinicieni schimbau opinii referitoare la psihiatria sociala, seminarii care au constituit punctul de plecare pentru formarea "Asociatiei de Analiza Tranzactionala". In 1956, solicitarea lui Berne de a deveni membru al "Institutului de Psihanaliza" este respinsa, moment crucial, in care acesta decide sa renunte la psihanaliza si sa mearga pe drumul propriu: Analiza Tranzactionala. Astfel, in 1961 publica Transactional Analysis in Psychotherapy, pe care o dedica amintirii tatalui sau, David, si care, 10 ani mai tarziu, in 1971, va fi tradusa in Franta: Analyse transactionnelle et psychothrapie. In 1964 publica Games People Play, (Ce jocuri prefera oamenii?) continuarea cartii anterioare, urmata de Ce spuneti dupa ce ati spus Buna ziua ? tradusa de asemenea in franceza: Que dites-vous aprs avoir dit Bonjour? si, recent, in limba romana. Toate trei au devenit best-seller internationale, destinul AT fiind definitiv trasat: conceputa initial o aplicatie psihoterapeutica, AT este repede consacrata ca noua Teorie a Comunicarii. Eric Berne moare in urma unui atac de cord in 1970, la varsta de 60 de ani. Devenita, astfel, o noua metoda de comunicare (dupa ce, initial, asemenea NLP, fusese gandita ca o simpla tehnica terapeutica), AT plaseaza in centrul teoriilor sale notiunea de tranzactie, ca unitate minimala a interactiunii sociale. Inainte de a intreprinde analiza tranzactionala propriu-zisa, Berne traseaza cadrul general al analizei structurale, capitol care deschide lucrarea sa sus-mentionata, publicata in 1961 - Transactional Analysis in Psychotherapy, si tradusa in lb. franceza abia in 1971 - Analyse transactionnelle et psychothrapie. Conform acestei analize structurale, psihicul uman este alcatuit din trei subdiviziuni sau stari fundamentale ale ale Eului, cum le numeste Berne, si care nu trebuie confundate cu triada instantelor psihice descrise de psihanaliza ; acestea sunt Parintele, Adultul si Copilul, reprezentate in urmatoarea structura a personalitatii :

. Analiza Structurala sau AS este capitolul premergator AT, in care Eric Berne defineste starile eului; AS si AT ofera, impreuna, o teorie sistematica a personalitatii, a dinamicii sociale si a comunicarii intra si extrasubiective, construita pe baza unei experiente clinice vaste si indelungate. Starile Eului sunt definte ca sisteme coerente de emotii, afecte si "sentimente legate de un subiect bine determinat, si care, in exterior, opereaza ca un sistem omogen de tipuri de comportament". Pragmatic vorbind, putem vorbi despre "un sistem de afecte care determina un sistem corespunzator de comportamente". Doua sau chiar trei stari ale Eului pot exista simultan in constinta, ca entitati psihologice discontinui, diferite una de alta si, de regula, inegale ca pregnanta; in mod ideal, ele pot fi figurate ca trei sfere egale, supraetajate si tangente: P/A/C, ca in figura de mai sus. In realitate, fiecare individ are, in conceptia lui Berne, o stare sau alta inegal reprezentata, cu suprapuneri sau decuplari mai mult sau mai putin patologice, in functie de istoria personala, familiala, sociala etc. Granitele Eului, de care vorbeste Berne - si pe care le clasifica in: difuze, rigide ori labile - sunt determinate de "glisarile" de la o stare la alta, sau, dimpotriva, de "fixarea" durabila, rigida intr-o stare dominanta. Nu numai tipul de personalitate umana, ci si profesia aleasa poate fi raportata la predominanta P, A sau C; astfel, preotii sau politicienii sunt predominant Parinte, clinicienii, cercetatorii, predominant Adult, iar clownii, actorii, poetii sunt predominant Copil; intuitiv, fiecare ne alegem profesia dupa structura Eului. O alta alegere inconstienta, dar dictata de aceeasi diagrama structurala, este alegerea partenerului; o femeie cu mai multe casatorii, toate esuate, cu soti alcoolici, este solid fixata pe o structura de Salvator, structura care cauta (si intotdeauna gaseste!) un partener de tip Victima.
A) Starea de Parinte (P) contine totalitatea mesajelor si atitudinilor parentale critice sau binevoitoare receptionate si interiorizate de-a lungul vietii; acest tip de mesaje (cuvinte si/sau gesturi) au fost emise de diferite instante ale autoritatii cu care care individul s-a confruntat direct: parinti, bunici, frati mai mari, educatori de diverse grade, sefi etc., sau indirect: legi scrise (Biblia, Codul rutier etc.) sau nescrise (regulile de politete, ritualurile sau datinile, de exemplu). Mesajele parentale contin in special judecati despre lucruri si despre oameni (de altfel, peste 70% din mesajele noastre verbale reprezinta astfel de judecati). Acestea, numite judecati preconcepute sau prejudecati, sunt un fel de "semafor" interior si ne determina sa respectam "culoarea rosie", castigand timp datorita experientei celor care au verificat actiunea respectiva inaintea noastra: "E bine sa"/"nu e bine sa". Parintele are continut dual: PC (Parintele Critic) si PB (Parintele Binevoitor). Fiinta umana este silita sa inregistreze - sub forma de mesaje verbale si non verbale - norme, reguli, opinii si judecati despre oameni, fenomene, lucruri inainte de a fi in stare sa analizeze corectitidinea, validitatea sau non validitatea acestor norme; inregistreaza, de asemenea, precoce, pattern-uri de comportament, moduri de vorbire sau inflexiuni ale vocii dominatoare, critice sau devalorizante, ori, dimpotriva, predominant incurajatoare, protectoare, binevoitoare "hranitoare". O persoana aflata in starea de Parinte reproduce inconstient un astfel de comportament perceput anterior la parinti sau educatori, in general la o persoana intruchipand un prototip de autoritate. Asa cum am afirmatdeja, starea de Parinte are o structura duala simetrica:
a) PARINTELE CRITIC sau NORMATIV (dicteaza, conduce, emite principii, judeca, critica, devalorizeaza, agreseaza, persecuta, poate deveni PERSECUTOR)
b) PARINTELE BINEVOITOR sau HRANITOR (ajuta, incurajeaza, felicita, apreciaza, ocroteste, protejeaza, poate deveni SALVATOR)
a) PARINTELE CRITIC "contine regulile, normele, opiniile, valorile, prejudecatile, modelele de comportament autoritare, de dominare a celorlalti." 1) Aspect pozitiv: este partea conducatoare care da intructiuni, care dicteaza normele intr-o relatie instaurata pe respect. 2) Aspect negativ: este partea care se exprima predominant in interiorul unei relatii neloiale (de tipul Eu sunt OK - Tu nu esti OK), pentru a-l critica/devaloriza pe celalalt, asa cum vom vedea in subcapitolul urmator:
![]()
![]()
![]()
![]()
![]()
S V sau Salvator Victima
P Persecutor
Parintele Critic tinde sa devina P (Persecutorul sau Calaul) si comunica intr-un mod excesiv centrat pe prejudecati; asa cum se stie, prejudecata este o "evaluare care apare inaintea unei analize sau reflectii proprii () si vizeaza evitarea unei aprecieri personale, dupa observarea unei situatii." Oamenii nu "inventeaza" prejudecati noi, ci le "adopta" cu usurinta pe cele primite "de-a gata", din lene intelectuala, pasivitate spirituala, superficialitate si, mai ales, conformism si obedienta. Prejudecatile se transmit intergenerational, de regula intrafamilial, dar nu exclusiv; ele tin de religie, moravuri, mediu social si profesional, rol de sex, cultura, moda, stil de viata etc. Exemple de prejudecati ale Parintelui Critic: a) oamenii (tinerii, barbatii, femeile, romanii, americanii, patronii, politicienii etc.) sunt lenesi (prosti, interesati, profitori) /nu sunt demni de incredere (sociabili, creativi, inteligenti, cooperanti); b) baietii nu plang; c) barbatii trebuie sa stie sa bea si sa fumeze; d) femeile nu trebuie sa poarte pantaloni; e) fetele nu trebuie sa vorbeasca urat; f) femeile nu sunt buni conducatori sau soferi; g) aceasta este o meserie de barbati; h) asa ceva nu se facei) tinerii din ziua de azi j) politica este un lucru murdar etc. Comportamentele verbale si non verbale ale Parintelui Critic acopera o scala complexa a agresivitatii, de la violenta simbolica, la cea fizica: a) loveste cu pumnul in masa ca sa afirme ceva; b) jigneste, insulta, calomniaza, colporteaza; c) nu zambeste; d) barfeste, vorbeste de rau pe toata lumea: barbati, femei, tineri, vecini, colegi, politicieni, societatea; e) descurajeaza: " au mai incercat si altii inaintea ta si n-au reusit!"; f) emite sentinte si "adevaruri" pe un ton omniscient, care nu admite replica; g) da ordine, ameninta, injura; h) spune frecvent "asa trebuie sa./ asa nu trebuie sa"; i) ameninta cu degetul aratator:"este numai vina ta!"; j) claxoneaza nervos in trafic, la cea mai mica greseala a altora; k) "vede barna din ochiul altuia", "arunca primul piatra"; l) judeca, este intransingent, sever, dispretuitor; m) ironizeaza, depreciaza, ridiculizeaza, devalorizeaza: "nu esti in stare sa."; n) suprageneralizeaza: "niciodata n-o sa reusesti sa"; o) masoara pe cineva din cap pana-n picioare, cu barbia ridicata sau mainile in solduri; p) striga: "iesiti de acolo!"unor oameni inchisi intr-o cladire care a luat foc; r) foloseste o voce autoritara ca sa spuna unui copil mic: "nu baga degetul in gura!"
b) PARINTELE BINEVOITOR cuprinde modele comportamentale protectoare, fundamentate pe incredere, intelegere, deschidere, caldura si acceptare neconditionata. 1) Aspectul pozitiv: este partea care protejeaza, ajuta, incurajeaza incuviinteaza fara sa sufoce personalitatea celui protejat. 2) Aspect negativ: este sau poate deveni partea care supra-protejeaza, impiedicandu-l pe celalalt sa se dezvolte, sa se formeze prin propriile experiente, (reusite + esecuri); este partea care "face lucrurile in locul altuia", care "se sacrifica" pentru ceilalti, fiindca ceilalti "nu sunt capabili", acest rol fiind atribuit Salvatorului (S). Cateva exemple de comportamente ale Parintelui Binevoitor: a) ia in brate un copil ca a cazut, consoleaza, linisteste; b) spune cuiva care a gresit: " I se poate intampla oricui"; c) felicita un coleg: "Bravo, Emil, ai gasit o solutie excelenta!"; d) spune unui client nelinistit: "Nu va ingrijrati, se va rezolva imediat!"; e) face daruri celor dragi; f) suna din cand in cand a prieteni sa intrebe pur si simplu ce mai fac; g) pregateste un ceai sotului/sotiei cand acesta/aceasta se intoarce acasa racit/a; h) incurajeaza, sustine, ajuta, mangaie; i) isi ofera serviciile: "pot sa te ajut cu ceva?" etc.
Cum functioneaza starea de Parinte a Eului? E.Berne asimileaza aceasta stare unei benzi de magnetofon, care inregistreaza pasiv - in special in copilarie - o cantitate impresionanta de informatii (cuvinte, gesturi, mimica, intonatii, judecati, valori, norme etc.), pentru a le reproduce ulterior in situatii similare celor initiale. In structurarea viitoarei identitati, imitatia joaca un rol primordial, fiind una din formele principale de invatare; pattern-urile astfel intiparite afectiv (pozitiv sau negativ) au o forta direct proportionala cu raportul de autoritate dintre imitator si modelul imitat. Ex.: gestul amenintator cu degetul prin care fiul este admonestat de catre tata, insotit eventual de o observatie caustica ("Sa nu cumva sa te mai prind ca mai faci vreodata asa ceva!) va reluat ulterior identic de catre fiul ajuns tata (sau sot, sau sef) catre o persoana aflata intr-o pozitie de inferioritate fizica, psihica sau sociala, in cadrul unei relatii complementare de tip Calau (Persecutor) / Victima. La fel de nociv este - in mod paradoxal - si pattern-ul Salvator / Victima: fiica (fiul) careia mama i-a legat sireturile la ghete pana la 10 ani sau i-a adus tava cu micul dejun la pat, dimineata, va deveni, la randul ei (lui) cea/cel care se va grabi sa indeplineasca dorintele copiilor (sotului, sefilor etc), fara macar ca acestia sa-i fi cerut ceva, si reproducand fidel gestul, surasul sau tonul vocii materne. Asa cum vom vedea, insa, raportul S/V este primul care se inverseaza, S→V. "Inregistrarile Parintelui nu se limiteaza doar la modul in care ne exprimam dezaprobarea sau amabilitatea fata de cineva, ci ele vor contine modurile de actiune si comportamentele (cu toate aspectele pe care acestea le includ) ale persoanelor care sunt, la un moment dat, in situatia de a-i domina pe altii(s.n.)"
Mesajele Parintelui (fie el Critic sau Binevoitor), avand uneori o latura ambivalenta (pozitiv/negativa) devin cu usurinta daunatoare, toxice, atat pentru cei din jur, cat si pentru sine, in cadrul comunicarii intrapersonale; astfel, vocea interioara ne poate motiva si ajuta in anumite circumstante: "Nu te descuraja", "Hai, incearca, ai curaj, vei reusi", "Ai incredere in tine" etc., dupa cum ne poate si descuraja, chiar deprima: "IdiotuleBleago", "Stiam eu ca n-am sa reusesc", "Sunt un prost/proasta, un netot", "Jobul acesta (masina, casa, femeia, barbatul) nu e de nasul tau!".
B) COPILUL (C) - resursa vitala a acestei structuri a personalitatii, este sediul impusurilor, dorintelor, sentimentelor si afectelor noastre, al creativitatii si intuitiei. Dupa Berne, intuitia functioneaza ca o dubla capacitate: a) capteaza informatiile provenind din exterior sau interior, protejandu-le de sistemele noastre de judecata si aparandu-le de excluderi rapide; b) alatura, combina, transforma aceste "informatii" (initial sub forma jocului) dand nastere mecanismului creativ. Ca si in cazul P, C are o structura duala: CA (Copilul Adaptat) si CL (Copilul Liber), dupa altii autori, chiar tripla, avand in plus CR (Copilul Rebel), cel care se opune neconditionat oricarei actiuni, agitatorul, procesomanul. Starea de COPIL a EULUI este sediul general al emotilor, intuitiei si creativitatii; Berne imparte starea de Copil in doua emisfere simetrice: Copilul Liber si Copilul Adaptat .
COPILUL LIBER Putem afirma ca cineva se afla in starea de CL atunci cand isi exprima spontan, neingradit, sentimentele, dorintele si tot ceea ce tine de afectivitate; CL este, in egala masura, sediul intuitiei, indispensabila capacitatii creative. Capacitatea intuitiva, existenta la toti indivizii, dar neglijata de cei mai multi, este "un radar" care, afirma R. de Lassus, "capteaza semnalele pe care le emit oamenii si lucrurile", semnale atat de subtile incat nu pot fi inregistrate nici de cele mai performante aparate si care mai sunt definite ca "perceptie extrasenzoriala"; telepatia, premonitia, bioenergia, divinatia, magia etc. dar si solutiile geniale ori marile inventii si descoperiri isi au esenta aceasta capacitate - uneori iesita din comun- a fiintei umane de a "capta" undele energetice ale informatiilor exterioare si/sau interioare, decodificandu-le, pur si simplu, mai repede sau mai corect decat altii.
1) Aspect pozitiv: Starea de Copil este "inima" existentei, centrul emotional, locul privilegiat al unei intalniri adevarate; ea implica exprimarea spontana a sentimentelor, in ciuda faptului ca, de regula, tocmai acest lucru este limitat, interzis chiar, prin norme culturale nescrise: o multime de proverbe descriu extrem de sugestiv acest tip de embargo emotional: "Urechea baiatului este pe spinarea lui"(proverb chinezesc); "Sa nu-ti saruti copiii decat in somn"(proverb romanesc), etc. De asemenea, ea permite aparitia creatorilor in toate domeniile: poeti, compozitori, pictori, a caror sensibilitate este mult peste medie
2) Aspect negativ: permanentizarea starii de Copil devine, insa, suparatoare, transformandu-se in inconstienta si iresponsabilitate; o persoana centrata excesiv pe aceasta stare este cea a carei rezistenta la frustrare are un prag foarte scazut, fiind repede respinsa de catre cei din jur. In general, manifestarea nelimitata a Copilului apare la egocentrici, alimentand complexul narcisic.
Cum recunoastem exprimarea CL al cuiva?
spune: "Imi place (mult) ciocolata, fotbalul, cinematograful, istoria etc."
spune cu aceeasi sinceritate si spontaneitate: "nu-mi place"
isi exprima sentimentele prin gesturi firesti, semne de bucurie, de entuziasm, nimic nu il lasa indferent
rade in hohote
este curios, deschis, impulsiv, senzual
joaca (sah, fotbal, volei etc.)
plange (chiar daca este barbat! "barbatii nu plang" este o norma Parinte Critic; orice expresie emotionala reprimata, refulata, revine pe o cale ocolita, putandu-se transforma in simptom)
saruta, imbratiseaza, iubeste, sufera in mod autentic
isi spune deschis temerile, nelinistile, angoasele
isi exprima mania, furia fara sa o stocheze sau sa o disimuleze - exprimarea acesteia este un act de sanatate psihica si implica descarcarea unei cantitati normale de agresivitate , fara de care nu am putea supravietui, avand un rol decisiv, atat in filogeneza, cat si in ontogeneza.
creeaza, scrie un poem, picteaza un peisaj, curata trandafirii, asorteaza culorile intr-o incapere, face o fotografie unui apus sau rasarit de soare, ori primului dinte al fiului.
COPILUL ADAPTAT - se dezvolta atunci cand o persoana isi adapteaza trebuintele, dorintele dupa cele ale celorlalti, lucru care se poate face pe patru nivele diferite: a) adaptarea sociala la cereri, reguli si norme (acceptarea regulilor de politete, de pilda); b) supunerea (generata de conformism sau de teama); c) autodevalorizarea si stima de sine scazuta - alimentand Victima; d) revolta, negativismul, mai ales in cazul CR (sustinerea sistematica a contrariului). Cum se manifesta CA?
se opreste la culoarea rosie a semaforului, trece strada numai pe zebra
respecta toate regulile
cedeaza intr-o disputa
aproba, spune "da", accepta
construieste fraze fara subiect, impersonale: " se spune ca.", se stie ca.trebuie."
se indoieste de el
se depreciaza, se inferiorizeaza
se plange, se vaita, se autovictimizeaza
bombane, riposteaza, spune in mod sistematic "nu" (Copilul Rebel)
1) Aspect pozitiv: Copilul Adaptat este cel care ne permite sa ne adaptam social, sa rezistam la tentatii si frustrari, sa ne maturizam; el accepta regulile, scutindu-ne de neplaceri sau evenimente judiciare. Copilul Adaptat Rebel este un bun catalizator al schimbarilor sociale si individuale.
2) Aspect negativ: este lipsit de imaginatie, inventivitate si altruism; este o companie plictisitoare, desi isi flateaza partenerii, ii aproba, ii lingusesc. Cele doua stari ale eului descrise mai sus (P si C) sunt primele care se dezvolta in istoria individuala, dar sunt si cele care, din "prieteni" se pot transforma in "dusmani" ai reusitei, performantei si fericirii umane; dominat numai de dorinte incontrolabile, sau impulsuri vindicative si agresive, individul ar avea un destin destul de sumbru, daca nu ar folosi cea de-a treia instanta a eului, starea de Adult.
ADULTUL (A) - aste acea stare a Eului care analizeaza, sintetizeaza, isi formeaza propria opinie, hotaraste, decide, actioneaza rational, lucid, inteligent; asa cum vom vedea, Adultul mentine echilibrul intre impulsurile starii de Copil si normele starii de Parinte Starea de Adult a Eului este responsabila de capacitatea individuala de a cauta si gasi raspunsuri la intrebari, de a analiza si sintetiza informatiile, de a compara, de a face deductii logice, de a intelege, de a fi atent, de a explica, de a evalua. 1) Aspect pozitiv - contribuie la luarea deciziilor, la negociere, rezolvare de probleme, indeplinirea sarcinilor; mentine echilibrul intre starea de Parinte si ceade Copil, intre ratiune si simtire, intre emisfera dominanta, digitala si cea a gandirii analogice. 2) Aspect negativ: folosirea excesiva a acestei stari ar saraci relatiile interumane, transformand fiintele umane in roboti. Cum recunoastem, cum deosebim Adultul, de Parinte sau Copil ? Adultul pune intrebari pentru a intelege, pentru a se informa, pentru a invata:
Exemple:
Adrian in starea de:
P: " Secretara a gresit iarasi! O sa-i spun eu vreo doua.sa ma tina minte!" /
C: "Ah, babornita! A facut-o dinadins ca sa ma enerveze!"
A: " Oricine se poate insela. O sa-i explic din nou, sunt sigur ca va intelege"
Ioana in starea de:
C: " E limpede ca Mihai nu ma iubeste, altfel ar merge cu mine diseara la spectacol" P: " Stiam eu ca nu trebuie sa am incredere in barbati! Ei nu se gandesc decat la un singur lucru."
A: "Il inteleg ca prefera sa se ite la meci. O sa-I telefonez Mariei, poate merge ea cu mine"
Paul in starea de:
C: "N-am priceput nimic din lectie; daca il rog pe prof sa-mi mai explice odata, o sa spuna ca sunt tampit";
P: "Nu trebuie sa-l intrerupi pe profesor doar pentru atata lucru!";
A: "Daca nu il intreb, risc sa nu inteleg nici lectiile urmatoare, asa ca o sa il rog sa-mi explice din nou."
Andrei in starea de
P: "Daca vrei sa-ti pastrezi slujba, ridica-te si du-te la lucru, chiar daca ai 38 de grade si tusesti! Datoria inainte de toate"!
C: " Sa muncesc inca o zi pentru patron? Oricum el este deja atat de bogat! Mai bine dorm!"
A: "Voi telefona medicului si o sa procedez asa cum spune el"
EXERCITIUL NR.1
Indicati ce Stare a Eului a emis fiecare mesaj: Rezolvare:
Nr. MESAJ PN PB A CA CL
Ce tipi ! Se cred destepti!
Of, of! Numai mie mi se intampla toate !
Aveti grija cum il transportati, are mana rupta!
Imi pare rau ca nu poate veni cu noi.
De cat timp asteptati?
Cand credeti ca terminati lucrarea?
Ce vreti!? Nu ai la ce sa te astepti bun de la astia!
Nu va faceti griji, ma ocup eu de tot!
Bravooo!! Ai castigat!
Ce film ai dori sa vezi?
Eu sunt de vina, ca de obicei.
M.este un badaran!
Fa un efort, ce naiba!
Oare ce va crede seful despre lucrarea mea? Eu nu cred ca voi reusi
Politicienii astia! Toti sunt niste hoti !
Il iubesc pe C.
Sunt foarte suparat pe tine.
Mi-e teama ca n-o sa reusesc la interviul de maine.
Vrei sa te ajut?
AT este o teorie interesanta.
Testul de mai jos va propune realizarea propriei egograme[5], adica descrierea modului in care sunt repartizate cele 6 instante in structura personaliattii dumneavoastra. Raspunzand la urmatoarele intrebari puteti afla care este personalitatea dumneavoastra de baza, precum si ponderea pe care o ocupa celelalte 'subpersonalitati'. Pentru fiecare din domeniile de mai jos - contact, reputatie, ideal etc. - se acorda punctaje de la 0 la 5. Cititi cu atentie propozitiile din fiecare coloana si acordati puncte tuturor afirmtiilor astfel: 5 puncte pentru propozitia cea mai concordanta cu opinia dumneavoastra, 4, 3,2, pana la O puncte pentru propozitia care nu va caracterizeaza deloc. Apoi treceti la coloana urmatoare procedand la fel pana ce veti raspunde la toate domeniile propuse
In ceea ce priveste contactul cu celelalte persoane:
I. Sunt sociabil si ma ocup
de ceilalti.
II. Pentru a reusi, trebuie sa
ai relatii.
Cativa prieteni adevarati
imi sunt suficienti.
IV. Am o gasca de prieteni cu care ma amuz super!
V. Intampin dificultati in
a-mi face prieteni.
VI. Intr-un grup, imi place sa-i pun la punct pe cei care o fac pe
grozavii.
In ceea ce priveste reputatia mea, mi se spune ca sunt:
I. Cald si primitor
II. Strict si riguros
Logic si deschis dialogului
IV. Ludic si vesel
V. Flexibil si cooperant
VI. Provocator
Pentru mine, munca ideala ar fi:
I. Cea in echipa si in
domeniul social
II. Cea care imi da
responsabilitati
Cea care are sens
IV. Cea in care pot sa ma realizez si sa ma amuz
V. Cea care este bine descrisa
si ale carei rezultate pot fi materializate;
VI. Cea in care pot sa ma exprim liber.
Principalele mele defecte sunt:
I. Sunt o persoana intruziva,
deseori ii 'invadez' pe cei din jurul meu.
II. Critic pe toata lumea si
sunt intransigent.
Sunt prea rational.
IV. Sunt cam neserios.
V. Nu am suficienta incredere in
mine.
VI. Accept cu greutate orice forma de autoritate.
Opiniile mele asupra vietii si lumii:
I. Oamenii ar trebui sa
invete sa se inteleaga mai bine.
II. Ar trebui sa ne comportam
mai moral.
Exista o solutie pentru toate
problemele.
IV. Traiasca viata!
V. Trebuie sa te perfectionezi
neincetat.
VI. Suntem guvernati de niste tampiti.
Hobby-urile/Sporturile care-mi plac:
I. Imi plac activitatile in
grup.
II. Imi place competitia.
Imi fac griji pentru sanatatea
mea si imi protejez relatiile.
IV. In sfarsit liber!
V. Imi place sa-i privesc pe
ceilalti.
VI. Depasesc toate obstacolele care-mi apar in cale.
Camera mea este:
I. In armonie cu mine.
II . Clasica, nu prea luminoasa.
Functionala.
IV. Super-cool, decontractanta.
V. Foarte ordonata, este important.
VI. Anticonventionala, scandaloasa.
Felul in care ma adresez celorlalti:
I. Sunt calduros si incerc
sa-i linistesc.
II. Sunt convingator.
Stiu sa ascult.
IV. Imi plac jocurile si piruetele.
V. Imi vine foarte greu sa vorbesc
cu oamenii pe care nu-i cunosc.
VI. Modurile mele privilegiate de a ma exprima sunt ironia si
cinismul.
Faceti suma punctelor pe care le-ati obtinut la propozitiile de rangul I, II, III, IV, V si VI:
|
I= |
IV= |
|
II= |
V= |
|
III= |
VI= |
Obtineti astfel un indicator al tipului de personalitate, stiind ca:
I = PARINTELE-BINEVOITOR
II = PARINTELE-CRITIC
III = ADULT
IV = COPIL-LIBER
V = COPIL-ADAPTAT
VI = COPIL-REBEL
4. TRIUNGHIUL DINAMICILOR ATITUDINALE: P↔V↔S Majoritatea miturilor , povestilor, basmelor, operelor literare epice sau dramatice, ori a filmelor pun in scena, la prima vedere, doua modele dihotomice de "personaje" sau "eroi": cei "buni" sau "pozitivi vs cei "rai" sau "negativi". Acestei impartiri maniheiste aparente ii corespunde insa, la o analiza mai atenta, o partitie caracterologica putin mai nuantata, si care interpune intre cele doua extreme: alb/negru, +/-, rai/iad, inger/demon, Cain si Abel etc. o a treia prezenta, bipolara, care - solidarizand de regula cu cel slab, bun, alb, pozitiv, are rolul de a zadarnici influenta maleficului, prelungind confruntarea initiala si, implicit, tensiunea dramatica. In acest sens, A.T. introduce termenii - in mod premeditat familiari - de Persecutor (sau Calau), Victima si Salvator. Tot ceea ce citim, ascultam si privim (inclusiv jurnalele tv. ori emisiunile de analiza politica, economica si sociala) si tot ceea ce, implicit, pune in scena fiinte omenesti sau substitute simbolice ale acestora este - in ultma instanta- construit pe aceasta succesiune dinamica: un personaj malefic (un Calau sau un Persecutor) ameninta si/sau ataca o Victima (un Persecutat).o perioada de timp variabila: o zi, un an, o viata, pana cand apare un om bun, un Salvator, care, de regula, anihileaza calaul sau macar influenta acestuia (si, eventual, a complicilor sai), repurteaza victoria si salveaza Victima. Aproape toate interactiunile umane reale sau fictive, traite sau povestite, se intemeiaza pe acest scenariu; singurul care se schimba este cadrul, contextul (spatial si temporal).
In acelasi timp, este practic imposibil de rememorat sau inventat, construit un story, un script fundamentat numai pe personaje pozitive, o actiune in care sa nu se intample nimic.negativ; in mod inconstient, perspectiva de narator, postura de a povesti cea mai simpla intamplare unei terte persoane implica introducerea unui personaj real sau imaginar care sa agreseze, fie si numai verbal ori emotional. Comunicarea interpersonala pune in scena mai curand un fapt divers, socant, negativ, si mai rar un fapt anodin, banal, fericit: oamenii fericiti nu au ce povesti ("No news, good news" si "Pas de nouvelles, bonnes nouvelles!"), si, la randul lor, nu devin eroi ai povestirilor decat in fraza clasica de incheiere: "si au trait fericiti pana la adanci batraneti." Cu alte cuvinte, este lipsit de interes, daca nu chiar imposibil de imaginat o povestire in care sa nu fie implicata cel putin o persoana care persecuta, agreseaza , care il desfiinteaza sau macar il ironizeaza pe celalalt; in cel mai simplu fapt de viata, rolurile de Persecutor, Victima si Salvator - fara a putea fi eliminate, pot, in schimb, alterna, evolua ori involua. "Chiar daca aceste doua cuvinte: calau si victima pot parea exagerate (.) este important sa intelegem ca cele mai mici disensiuni sau dispute din viata zilnica se aseaza pe aceasta axa dinamica ce conduce lumea(s.n.): axa persecutor/persecutat, cu - adesea, imediat ce apare un al treilea- interventia unui salvator". Din acest punct de vedere, psihologii semnaleaza o structura sadica, heteroagresiva, in ironizare sau in mesajele aparent inofensive de genul:"Totusi, nu esti prea istet", dupa cum repereaza o structura masochista in atitudinea pasiva a unei persoane care nu reactioneaza la acest fel de mesaje defaimatoare (in acest exemplu, autoagresivitatea transforma P→V). A.T. descrie, astfel, trei roluri sau structuri comportamentale care animeaza in orice circumstanta starile fundamentale ale Eului: a) Persecutor (Calau); b) Victima (Persecutat); c) Salvator.
rolul de Persecutor constituie o forma exagerata a Parintelui Normativ, in functia sa critica si/sau devalorizanta;
rolul de Victima este o forma exagerata a Copilului Adaptat, in masura in care este vorba de propria sa devalorizare;
rolul de Salvator este o forma exagerata a Parintelui Binevoitor, in masura in care acesta se caracterizeaza prin hiperprotectie, adica tocmai acea atitudine care impiedica pe celalalt sa creasca, sa se devolte, sa evolueze.
Daca in operele de fictiune prezenta si evolutia rolurilor P/S/V/ apar ca firesti, si au uneori o explicatie pur educativa, in interactiunile cotidiene aceste trei pattern-uri atitudinale sunt mai greu de reperat, ele interferand sau suprapunandu-se in majoritatea situatiilor. Cea mai dificila este, insa, auto-reperarea lor si incadrarea intr-o categorie au alta, datorita efectului psihologic numit "Efectul Muhamad Ali", care consta supraevaluarea caracteriala personala: ne consideram, de regula, mai buni ca ceilalti, dar nu mai inteligenti. Pe cat este de dificila, insa, pe atat este de dezirabila aceasta autoevaluare corecta, in sensul diminuarii dificultatilor noastre comunicative si, implicit, relationale.
EXERCITIUL NR. 3.
Ce rol dramatic (P, S sau V) interpreteaza persoanele descrise in scenariul de mai jos?
1. C. spune: Desteptule, iar ai dereglat monitorul!
2. R. spune: Doar am facut asta ca sa te ajut!
3. A. spune: Desi am foarte mult de lucru, dati-mi tot mie acest dosar!
4. J. ii spune sotului, care o saruta: Inceteaza, numai la asta te gandesti!
5. Desi e ocupat maine, P. raspunde rugamintii de ajutor a lui I. si renunta la propriul lui plan
6. B. Raspunde: Cum vreti sa ma descurc, daca nimeni nu ma ajuta!!
7. L. ii spune fiului sau de 9 ani: Vino, puiule, iti leg eu sireturile!
8. M.ii spune sotului: Iar ai facut pe prostul toata seara cat am stat la Ionesti!
9. F. spune: De ce mi se intampla toate numai mie?
10. S., care nu a mancat inca tort, ii ofera lui N.ultima bucata: Serveste-te, nu e nici o problema !
5. Tipuri de STROKE. Efectul PYGMALION sau ROSENTHAL Ce sunt stroke-urile ? Introdus de Berne in 1975, in Games people play, termenul ambivalent de stroke[9]-ul, numit si "calorie psihologica", se defineste ca unitatea indivizibila a tranzactiei si desemneaza orice act verbal sau non verbal care implica recunoasterea prezentei celuilalt. Ca si Gregory Bateson, Berne sustine ca este de preferat o conversatie anodina absentei oricarei interactiuni; cel dintai afirma, astfel: "Ceea ce-l intereseaza pe cel care vorbeste este tocmai faptul de a comunica cu o alta fiinta umana. Chiar cu oamenii pe care-i cunoastem foarte putin preferam sa intretinem o conversatie banala, decat sa acceptam mesajul implicit al tacerii, si anume acela ca nu comunicam. Se pare ca acest mesaj ar provoca angoasa, deoarece presupune o respingere (s.n.)." E. Berne - argumenteaza in acelasi sens atunci cand propune termenul ambivalent de stroke (insemnand, in engleza: mangaiere si, in acelasi timp, lovitura, si tradus, in literatura franceza de specialitate, ca si in cea romana, prin termenul generic:"mangaiere ", dar pe care propunem sa-l pastram in varianta originala: stroke) sau "calorie psihologica". "Valoarea de supravietuire" a acestuia este descrisa de catre Berne, in Games People Play, astfel:"R. Spitz a constatat ca unii copii mici lipsiti de atentie si afectiune o perioada lunga de timp au tendinta sa intre intr-un declin ireversibil si pot contacta boli recurente.(.) Un fenomen asemanator se observa si la adultii care au fost supusi privatiunii senzoriale.(.) Aceste observatii fac loc ideii de foame-de-stimuli*, si indica faptul ca cele mai favorizate forme de stimuli sunt cele generate de intimitatea fizica.(.) Prin extensie, stroke poate fi folosit in limbajul obisnuit pentru a desemna orice act care implica recunoasterea prezentei cuiva - fiind o unitate fundamentala a vietii sociale. Un schimb de stroke-uri constituie o tranzactie - care este unitatea minimala a interactiunii sociale." Ren de Lassus (Analyse transactionnelle) rezuma aceasta teorie a lui E. Berne intr-o fraza -extrem de simpla si, aparent, socanta: "Este mai bine sa primesti chiar si stimuli negativi (lovituri, de exemplu), decat nici un fel de stimuli." El compara aceasta nevoie psihologica individuala de "stimuli" cu ceea ce A. Maslow (Motivation and personality, 1954) numeste "nevoie de recunoastere sociala", plasand-o pe cel de-al treilea palier al "piramidei" trebuintelor umane, dupa nevoia bazala de supravietuire si cea de securitate. Reamintim ca, in conceptia psihologului American A.Maslow, putem vorbi despre o ierarhizare a trebuintelor si nevoilor umane sub forma unei piramide care are la baza etajul nevoilor elementare, biologice sau "de supravietuire": aer, apa, hrana, somn etc. si in care se poate include "nevoia de stimuli" teoretizata de Berne. Urmeaza, afrma Maslow, etajul nevoii de securitate fizica si emotionala, si, cea de recunoastere sociala, respect, autorealizare si stima de sine. Ideea de la care porneste Maslow este aceea ca o trebuinta superioara nu apare decat atunci cand cele de la etajele inferioare au fost deja satisfacute. In Que dites-vous aprs avoir dit bonjour?, Eric Berne afirma ca existenta este sinonima cu o neobosita cautare de stroke-uri, iar organizarea sociala contemporana nu este altceva decat o " succesiune de mijloace care le organizeaza producerea si distribuirea".
Experimentele de la care s-a pornit - in A.T. - pentru a se demonstra validitatea teoriei "nevoii de stimuli" sunt partial asemanatoare cu cele realizate de Rosenthal in cazul efectului Pygmalion (numit si "efect Rosenthal", dupa numele autorului). Astfel, in acest tip clasic de experienta, trei grupe de sobolani de laborator, omogene din punct de vedere al calitatii caracterelor, sunt tratate diferit de catre experimentatori; astfel, sobolanii din grupul A sunt hraniti si tratati cu amabilitate, li se vorbeste, sunt mangaiati, interactiunea cu ei este de tip intens/pozitiv. Pentru grupa B de sobolani, se procedeaza invers: sunt si ei hraniti, dar sunt mereu apostrofati, certati, loviti, pedepsiti cu agresivitate, interactiunea fiind de tip intens/negative. In fine, cel de-al 3-lea grup, C, este hranit automat, cu ajutorul unor distribuitoare artificiale de hrana, fara a li se vorbi, orice contact uman cu ei fiind evitat. Dupa un anumit timp, se examineaza starea de sanatate a animalelor de laborator: cei mai sanatosi vor fi, desigur, asa cum era de asteptat, cei din grupul A.
Comparand insa grupele B si C, analizele au dovedit ca, im mod neasteptat, starea sanatatii era mai deteriorata, mai precara la cei din grupul C, care fusesera tratati cu indiferenta. Q.E.D., toate fiintele - inclusv cele umane, fiind programate genetic sa primeasca stimuli exteriori necesari supravietuirii si dezvoltarii. Comparativ, experimentele lui Rosenthal asupra efectului Pygmalion pleaca de la premisa ca tratamentul emotional diferit aplicat unor grupe de subiecti determina punerea in functiune a mecanismului asa-numitelor " profetii care se autoimplinesc" (dupa P. Watzlawick): grupe de indivizi similare din punct de vedere al calitatilor fizice si psihice, dar tratate diferit, pozitiv sau negativ, ajung sa confirme comportamental, intelectual si emotional asteptarile experimentatorilor.
In conceptia initiatorului Analizei Tranzactionale formele preferate de stroke sunt cele furnizate de intimitatea fizica; in absenta acestora, fiintele umane sunt silite sa accepte/ofere stimuli simbolici (S. Freud utilizase, in acest sens, termenul de sublimare, iar A. Adler, cei de compensare si supracompensare), sau chiar stroke-uri negative: insulte, lovituri s.a. Lassus alcatuieste si o diagrama a diferitelor tipuri de stroke, dupa continutul de "calorii psihologice":
Mersul prin multime .
O privire rapida :
Un scurt contact ::
A da/ a primi o informatie :::
Buna ziua! ::::
O strangere de mana ::::::
O privire aspra ::::::::
O privire blanda ::::::::::
O observatie ::::::::::::
O cearta scurta ::::::::::::::::
Un suras :::::::::::::::::
Un compliment :::::::::::::::::::
O palma :::::::::::::::::::::::::
A lovi / a fi lovit :::::::::::::::::::::::::::::
O imbratisare :::::::::::::::::::::::::::::::::
Un sarut :::::::::::::::::::::::::::::::::::::::
O mangaiere :::::::::::::::::::::::::::::::::::::::::::::::::
O conversatie lunga ::::::::::::::::::::::::::::::::::::::::::::::::::::::::::::
O disputa :::::::::::::::::::::::::::::::::::::::::::::::::::::::::::::::::::::
Intimitate ::::::::::::::::::::::::::::::::::::::::::::::::::::::::::::::::::::::::::::
Acestui tip de taxonomie i se pot adauga altele, cum ar fi cele centrate pe 1. natura mesajului vehiculat: verbal / non verbal, 2. calitatea acestuia: pozitiv/ negativ, 3. natura relatiei dintre parteneri: conditionata / neconditionata; astfel - exemplifica A. Nuta- orice tranzactie presupunand un schimb de stroke-uri verbale (informatii date ori primite, urari, forme de salut sau injurii, conversatii intime sau oficiale, dispute etc.) sau non verbale (atingere, mangaiere, zambet, sarut, imbratisare, lovitura, lupta etc.), majoritatea interactiunilor, implica, de fapt, ambele forme - cu exceptia convorbirilor telefonice, cel putin deocamdata, cand videotelefonul inca nu s-a impus pe piata utilizatorilor obisnuiti. Putem, de asemenea, vorbi, de: a. stroke conditionat pozitiv: "Te-ai descurcat foarte bine!", " Ai reusit de minune!", "Ma bucur ca spui asta!"etc.; b. stroke neconditionat pozitiv: "Imi este dor de tine", "Sunt fericit cand sunt cu tine", "Ma gandesc cu dragoste la tine"etc.; c. stroke conditionat negativ: "Ma enervezi cand vorbesti asa!", "Nu-mi place cand porti haina asta!", "Te dispretuiesc atunci cand bei prea mult"etc.d. stroke neconditionat negativ: "Te detest!", "Esti un iresponsabil" etc.
Interdependenta dintre structurarea personalitatii si cea a limbajului- ramane o preocupare constanta in cadrul cercetarii intreprinse de E.Berne. Analiza Tranzactionala, ca teorie interactionista a comunicarii (J. Lohisse), teorie a carei unitate minimala este tranzactia, permite demontarea/analiza resorturilor psiholingvistice ce structureaza relatiile interpersonale; in interiorul acestora - sustine J.Lohisse in La Communication. De la transmission la relation - mesajele sunt, uneori, saturate de sensuri ambigue sau chiar contrare, implicand o adevarata patologie a comunicarii: "Pentru Berne, tranzactiile nu sunt deschise si clare; ele sunt supraincarcate de mesaje ascunse, cu fond dublu: o aprobare poate fi exprimata pe un ton de dezaprobare. In cadrul interactiunii exista un adevarat joc psihologic, in care fiecare individ tinde sa-si structureze unele dintre relatiile cu celalalt printr-o serie de tranzactii ascunse, de comunicari indirecte(s.n.). Obiectivul, inconstient, ar fi acela de a obtine un avantaj asupra partenerului."
Din acest punct de vedere, al patologiei comunicarii, antrenata inevitabil prin receptarea precoce - de catre copil- a unui dublu limbaj, conceptul de injonctiune - introdus de Analiza Tranzactionala - prezinta o importanta extrema; Bob si Mary Guilding (Progress in group and family therapy) au analizat, astfel, modalitatile prin care parintii, cel mai adesea bine intentionati, isi transforma copiii din "printi/printese" in "broaste raioase" prin intermediul unor mesaje ambivalente - verbale si non verbale- care vehiculeaza frecvent, sub aparenta lor neutra, frustrarile si fantasmele parentale prezente sau trecute. Cu mult inainte de a stapani si utiliza el insusi limbajul, copilul receptioneaza/decodeaza corect mesajele adultilor in termenii semnalelor non verbale; acuitatea perceptiei expresiilor faciale, tensiunilor corporale, posturii, gesturilor sau tonurilor vocilor celor din jur este explicabila prin apropierea cronologica de perioada perinatala, cand dialectul corporal era singurul (sau predominant) utilizat, asa cum confirma si Franoise Dolto, in Lorsque l'enfant parait: "Nu trebuie sa uitam ca, in utero, copilul participa la viata mamei si aude vocea tatalui. In utero, el aude. (.) Iar apoi, dintr-o data, la nastere, aude zgomote puternice. Atunci simte nevoia sa auda imediat vocea modulata a mamei sale, pe care o recunoaste, precum si vocea tatalui. Primele vorbe pe care i le spune mama sunt foarte importante.(.) De ce leganatul are un efect calmant? Pentru ca acesta era ritmul corpului mamei sale, cand mergea incoace si incolo, purtandu-l in pantece."
Separarea de corpul matern fiind prin ea insasi un "traumatism", copilul suporta dificil orice reiterare ulterioara (fizica sau simbolica) a acesteia, distorsiunile intersubiective intre parinte/copil fiind traite ca "suferinta precoce" incomunicabila, asa cum afirma D.Mellier: "Semnele suferintei precoce sunt foarte dificil de evidentiat(.) Nu exista, desigur, nici o cerere de ajutor din partea sugarului (.) unele mame ingrijorandu-se pentru insomnia bebelusului lor, altele neacordand nici o atentie faptului ca acesta sta, indelung, treaz si nemiscat in intuneric (.) dificultatea consta in interpretarea comportamentului copilului (.) suferinta precoce este cu atat mai greu de perceput, cu cat ea nu se traduce printr-o emotie clar comunicabila (s.n.)."
Chiar si mai tarziu, in procesul de asimilare a elementelor fundamentale ale limbajului, comunicarea non verbala continua sa ramana o componenta importanta pentru copil; A.Nuta, in studiul mentionat, ofera exemplul urmator: "Copilul ii recita tatalui o poezie invatata la scoala, dar se incurca, la un moment dat. Fara sa il priveasca, si citind, in acest timp, ziarul, tatal ii spune: - N-ai invatat-o bine! Baiatul decodeaza - din semnalele non verbale- un mesaj supra-adaugat, care spune: - Nu esti important pentru mine! Daca, eventual, tatal se enerveaza si chiar ii da o palma, mesajul decodat va fi: Nu te doresc! Nu exista!"
6. TIPURI de INJONCTIUNI TOXICE si de "ANTIDOTURI" Conform teoriei Analizei Tranzactionale, majoritatea mesajelor "descifrate" astfel se pot cristaliza in jurul a 12 teme principale, numite injonctiuni, si avand caracterul unor mesaje restrictive, de constrangere sau interdictie, emise si receptionate inconstient: 1. Nu exista ! (Parintii care emit astfel de mesaj se simt incomodati, amenintati chiar de prezenta unui copil, in general nedorit; chiar reprimata si exclusa din comportamenul verbal al adultului, agresivitatea, toxicitatea unei astfel de injonctiuni se insinueaza subtil in gesturi, ton, privire, iar copilul o percepe foarte clar. Uneori, ea devine explicita, luand forme maxime ale violentei fizice si simbolice, si insotita, eventual, de "metacomunicari"de genul: "Eu te-am facut, eu te omor!"/ "Te bat ca sa te fac om!" etc.); 2. Nu fi tu insuti ! (Mesajul este transmis de catre parintii care-si doreau un baiat, dar au o fata, si invers; reprosul lor inconstient este emis prin felul in care i se adreseaza copilului, cum il numesc, cum il tund sau il imbraca etc. La un nivel mai general, acest tip de injonctiune devine: Fii altcineva !); 3. Nu fi un copil ! (Parintele simte un "rival" in propriul copil, el insusi considerandu-se copil, sau, dimpotriva, fiind frustrat, odinioara, de copilaria proprie; "aici este loc pentru un singur copil"- este mesajul implicit- "te pot tolera numai daca te comporti ca un adult!" Expresii "familiare" ca: "Baietii nu plang / Nu te mai smiorcai ca o fata/ Nu te mai alinta!" etc. camufleaza frecvent acest tip de mesaj.) ; 4. Nu te maturiza ! O astfel de injonctiune primesc, de regula, mezinii dintr-o fratrie, ori copiii unici care sunt pe punctul de a parasi casa parinteasca, plecand la scoala/facultate/, sot/sotie etc.; mesajul implica un altul, imbibat de disperarea parentala in fata eventualitatii unei singuratati iminente: Nu ma parasi ! Una dintre metodele infailibile de a pune in circulatie acest mesaj este diminutivizarea numelui copilului, ori al partenerului: Sandel, Cristi, Gabitu, Dudu, Mimi, Moni etc.); 5. Nu reusi ! (Pare incredibil, dar numerosi copii - care au interiorizat constiincios aceasta injonctiune- rateaza examene, casnicii ori profesii pentru a implini nevoia parentala de sprijin si protectie la batranete, ori pur si simplu gelozia parintilor pentru abilitatile/realizarile fiului/fiicei, numeroase talente irosindu-se ca urmare a decodarii acestui mesaj; ca si in cazul tuturor celorlalte injonctiuni, ea va fi "transmisa" de la o generatie la alta, majoritatea adultilor repetand in mod reflex expresii absurde, suportate in propria copilarie: "Esti un natarau!"/ "Esti batut in cap!"/ "Nu esti bun de nimic!" s.a.); 6. Nu actiona ! (Este, de fapt, o abreviere a mesajului: "Nu actiona, pentru ca, orice ai face, este atat de periculos, incat este mai bine sa nu faci nimic!" si reprezinta proiectia neimplicarii proprii a adultului, ori a neputintei acestuia de a face fata realitatii - transferata inconstient asupra copilului sau); 7. Nu fi important ! (cu varianta "Nu cere nimic! Fii invizibil!"- mesajul traduce respingerea parentala divers motivata: teama de a fi parinte, egoismul, automenajarea confortului propriu etc.) ; 8. Nu te amesteca cu ceilalti ! (Destinatar constant al acestui mesaj mut, copilul, viitorul adult, sfarseste prin a fi un singuratic, nesociabil, autoexclus; direct sau indirect, parintii i-au criticat prietenii, i-au interzis calatoriile, i-au ironizat gusturile, pasiunile, preferintele, sustinand, in mod paradoxal, tot timpul "unicitatea" lui, superioritatea fata de ceilalti.) 9. Nu avea incredere in nimeni! (In "traducere libera": "Ceilalti sunt hoti/minciunosi/interesati ! s.a."- mesajul ascunzand, de regula, scepticismul exacerbat al parintelui insusi); 10. Fii bolnav ! (Mesajul mascheaza - sub aparenta disponibilitate la orice mic semn de slabiciune fizica sau de raceala- tentativa parentala de a infantiliza un fiu/o fiica aflat in pragul adolescentei, iar injonctiunea merge uneori pana la a produce regresii mentale si fizice apreciabile; "Fii slab, ca sa am pe cine proteja/domina" sau, la celalat pol " Uite ce neajutorat sunt, am nevoie de ajutorul tau/ de fidelitatea ta/ de supunerea ta/ de atentia ta!"- sunt injonctiunile colaterale cele mai frecvente.); 11. Nu gandi ! (Este genul de mesaj care transforma si pe cei mai inzestrati copii in nulitati: ironia, sarcasmul, sau numai indiferenta afectiva cronica actioneaza parghii emotionale invizibile, blocand evolutia intelectuala; una din variante este "Nu gandi ca tine, ci ca mine! Fa ce-ti spun! Fii ascultator! Fii conformist!" etc.); 12. Nu simti ! (Una dintre cele mai toxice injonctiuni, agreata de educatori sau de adultii pentru care proverbe de genul "Saruta-ti copiii numai in somn!"sunt expresia unui embargo emotional in intreaga familie,"sentimentalismele", exteriorizarea emotiilor fiind prompt cenzurate; mesajul mascheaza frica adultilor de propriile sentimente, vechi esecuri sentimentale refulate. In variante mai permisive, tipic materne, mesajul suna asa:"Nu simti ceea ce simti tu, simte ceea ce simt eu!" - si inregistreaza frecventa maxima deghizat in expresii de genul: "Mi-e foame.Ce vrei sa mananci?" "Mi-e frig. Imbraca-te mai gros!").
"Antidoturile" - atat cele prescrise de catre psihoterapeutii tranzactionalisti pentru anihilarea - de cele mai multe ori tardiva- a efectelor injonctiunilor (numite si "mesaje de constrangere"), cat si cele folosite intuitiv- sunt anti-injonctiunile (sau "mesajele-permisiuni"); acestea afirma ceea ce "mesajele de constrangere" sau "de interdictie" neaga: Nu exista!/ Exista! , Nu fi tu insuti/Indrazneste sa fii tu insuti!, Nu fi copil!/ Fii asertiv! iubeste copilul din tine!, Nu te maturiza!/ Fii puternic!, Nu actiona!/ Ia initiativa! fii creativ! indrazneste!, Nu reusi!/ Reuseste!/incearca!/implineste-ti visul! , Nu gandi! / Gandeste liber!, Nu avea incredere! Oamenii sunt buni, ce daruiesti, aceea primesti! Ai incredere! Fii optimist!, Pastreaza distanta!/ Iubeste! Fii apropiat de semenii tai!, Nu fi tu insuti!/ Fii tu insuti! Ai incredere in tine!, Fii bolnav!/ Fii sanatos, puternic!, Nu simti! / Fii intuitiv, vesel, spontan! etc.
In opinia noastra, anti-injonctiunile nu presupun neaparat o interventie psihoterapeutica, ci contin, implicit, aceasta functie, putand fi "oferite in dar" sau "autoadministrate"; iata cateva exemple, in acest sens, propuse de noi pentru cazul 1. nu exista! / exista! :
a) Toate formele de salut cotidiene, felicitarile aniversare sau onomastice includ anti-injonctiunea: Exista!, intr-o forma sau alta: Buna ziua! Buna dimineata! La revedere!( "a revedea" presupune " a fi in viata", spre deosebire de Adio!- derivat din fr. " Dieu!", sau span."A Dios!"- "a te revedea pe lumea cealalta, in fata lui Dumnezeu" ) Sa traiesti, sa fii sanatos, sau forma eliptica universala: La Multi Ani! in care verbul " a trai"/ "a exista" este subinteles.
b) Rugaciunile:"Tatal nostru (.) da-ne noua astazi painea noastra cea de toate zilele..!" si c) unele forme mixte urare/invocatie catre divinitate, cvasi-desemantizate cu timpul, cum ar fi banalul: Salut! - derivat din fr. "Salut"="Salvare, mantuire"- sau invocarea de maxima urgenta vitala. S.O.S.! (engl."Save our soul!").
Functia fatica a acestor tipuri de expresii iese in evidenta prin utilizarea predominanta a formelor de vocativ/imperativ, circulatia mesajului avand loc numai in "spatiul" intim dintre eu/tu, cu o ritmicitate temporala bine determinata, rituala, imuabila, de regula, autocontinuta (un an : La multi ani! Un an fericit! o zi: Buna ziua!, Pe maine! .) si confirmand/consolidand relatia intersubiectiva.
7. Cele 4 "pozitii" de viata Unul dintre cele mai cunoscute concepte ale A.T., "pozitionarea" existentiala - a carei cunoastere este indispensabila in gestionarea conflictelor si in comunicarea organizationala, in general - pleaca de la tendinta de a-i judeca pe ceilalti in functie de propriile noastre stari, ceea ce in psihologie poarta numele de "proiectie" (Freud descrie acest process psihologic ca pe un "mecanism de aparare" care consta - in linii mari- in a cauta in exterior sursa unei neplaceri personale. In cazul geloziei proiective, de exemplu, subiectul se apara de propria sa dorinta de a fi infidel atribuind infidelitatea partenerului sau). In A.T., subiectul completeaza judecata asupra celuilalt cu judecata comparativa asupra propriei persoane; rezulta, astfel, 4 atitudini sau pozitii de viata principale:
"Eu sunt OK - tu esti OK" este definita in AT ca " atitudinea castigatorilor", a invingatorilor; nu trebuie confundata cu atitudinea nerealista, donquijotista, in care iluzia joaca rolul dominant, deoarece o astfel de atitudine nu formuleaza o judecata definitiva. Ea s-ar putea reformula "Ma consider OK si te consider OK aici si acum". Este pozitia existentiala de tip Adult-Adult, pozitiva, descrisa prin proximitate maxima interpersonala, toleranta, fair-play, incredere in sine si in ceilalti, cooperare, spirit de echipa, de negociere de pe pozitii egale.
"Eu nu sunt OK - tu esti OK" este atitudinea celor supusi, autdevalorizanti; subiectii care intra in acest tip de pozitie se inferiorizeaza in fata sefului (constient sau nu), se eclipseaza in comparatie cu celalalt, asumandu-si benevol rolul de Victima si perpetuand acest rol . O persoana - Copil Adaptat, de cele mai multe ori - care privilegiaza aceasta postura (inclusv corporal) suporta cu greu proximitatea, nu este asertiva, nu are initiativa, dar este un bun executant, daca i se da indicatii; abordeaza de cele mai multe ori o atitudine dependenta, conformisa, obedienta, lipsita de comunicativitate.
"Eu sunt OK - tu nu est OK" - este atitudinea arogantei, a egocentrismului, conflictuala prin tentatva repetata de a-l inferioriza, devaloriza sistenatic pe celalalt de pe pozitii de superioritate. Este o atitudine mult mai frecventa decat ne putem imagina, chiar favorizata de lumea contemporana dominata de pragmatism si competitie. Este tipul de pozitie tipic managementului de tip autocratic, non permisiv cu angajatii si subalternii; este postura pe care mizeaza rivalitatea lipsita de spirit sportiv, este sloganul Parintelui Critic (Normativ), este substanta respectului impus prin teama, al tiraniilor si totalitarismelor de orice fel, al terorismului, in extremis.
"Eu nu sunt OK - tu nu esti OK" - este pozitia existentiala pasiva, defetista prin excelenta; subiectul este ipohondru, depresiv, mizantrop, pesimist. Este Victima prin excelenta, cea care-si plange de mila, care propavaduieste numai nenorociri si dezastre, susceptibila, vulnerabila, necomunicativa pana la autism, cu stima de sine scazuta stabila si cu iesiri uneori grave: boala psihica, sinucidere; in Balada autohtona Miorita, este postura baciului moldovean, care se autovictimizeaza si cedeaza fara lupta.
TU ESTI OK

-
implicare -
retragre
- cooperare - supunere
- negociere - inferiorizare
- incredere in sine (Victima, C.A.)
(Adult) EU NU SUNT OK EU SUNT OK
- devalorizarea celuilalt - pasivitate
- dispret - evitare
- dominare - resemnare
(Salvator sau Persecutor) suicid
(Victima)
TU NU ESTI OK
sau:
|
Tip 1: |
Eu sunt OK. Tu esti OK |
|
|
Tip 2: |
Eu sunt OK. Tu nu esti OK |
|
|
Tip 3: |
Eu nu sunt OK. Tu esti OK |
|
|
Tip 4: |
Eu nu sunt OK. Tu nu esti OK |
|
Acestora, Eric Berne le adauga, in Que dites-vous aprs avoir dit bonjour?, inca opt modele atitudinale tripartite, si care implica in relatia de comunicare un tert; astfel, autorul distinge: A) Eu+/Tu+/El+ sau "pozitia democratica"; B) Eu+/Tu+/El- sau "pozitia prejudecatilor", adoptata de catre demagogi sau snobi; C) Eu+/Tu-/El+ sau "pozitia agitatorului", a nemultumitului pentru care orice partener prezent este inferior unuia absent; D) Eu+/ Tu-/ El- sau "pozitia cenzorului fariseic solitar", cea a arogantului prin excelenta, a carui deviza este: "Toata lumea trebuie sa se incline in fata mea, in msura in are inferioritatea lui i-o permite"; E) Eu-/Tu+/El+ sau pozitia neuroastenicului, a masochistului; F) Eu-/Tu+/El- sau "pozitia servilismului", a lichelismului, a celui care traieste din "bacsisuri" reale sau smbolice; G) Eu-/Tu-/El+ sau "pozitia invidiei"; H) Eu-/Tu-/El- sau "pozitia pesimistului cinic", a celui care crede in predestinare si in universala fatalitate a pacatului originar.
EXERCITIU NR.4
Michel raspunde: "Va rog sa ma scuzati, a fost o mica incurcatura, vin la dvs. intr-o ora!"
8 Analiza tranzactionala propriu-zisa: tipuri de tranzactii.
Atunci cand o persoana se intalneste cu alta, au loc schimburi verbale si non verbale intre cele 6 stari ale Eului lor, 3 ale persoanei A si 3 ale persoanei B; asadar, au loc ceea ce AT numeste tranzactii. Cum Starile Eului difera, atat intre ele, cat si de la o persoana la alta, este important sa stabilim ce Stare a Eului (P, A, C) este activata la fiecare din cei doi indivizi atunci cand acestia intra in contact; reprezentarea tranzactiilor se face prin intermediul unor sageti trasate intre doua nivele oarecare ale schemelor structurale analizate A si B. In tranzactiile cele mai simple, sagetile sunt paralele, iar acest tip de tranzactii sunt fie directe, fie complementare. E simplu de calculat ca nu pot exista decat trei tipuri de tranzactii directe (PP, AA, CC), respectiv noua tipuri de tranzactii complementare posibile: (PP, PA, PC, AP, AA, AC, CP, CA, CC). Atata timp cat tranzactiile sunt directe si paralele, adica au loc intre A→A, P→P, C→C, ambiguitatea mesajului este minima, iar tranzactia poate dura, teoretic, la infinit: 1) A→A "- Cat este ceasul, te rog? Unsprezece si un sfert" ; 2) PN→PN " - Toti politicienii sunt niste incapabili! - Mie-mi spui! Nu-s in stare sa rezolve nimic niciodata!" ; 3) CL→CL " - Am chef sa mananc o inghetata ! - Si eu! Hai in oras!" Acelasi lucru se poate afirma despre tranzactiile complementare paralele, ca in fig.1., reprezentand o tranzactie de tip P↔C intre doi soti, de exemplu, in cadrul careia stimulus-ul merge de la Starea de Parinte a sotului catre starea de Copil a sotiei, iar reactia sau raspunsul de la Starea de Copil a sotiei catre cea de Parinte a sotului. In cel mai bun caz, este vorba despre un sot de tip patern, ocrotitor, si de o sotie iubitoare si recunoscatoare, cu o structura dependenta si infantila, sau de un sef autocrat si de niste subalterni obedienti. Ca si in cazul tranzactiilor directe paralele, acest tip de tranzactie poate dura pe perioada nelimitata:

SOT SOTIE

P P

A A

C C
Fig. 1 Tranzactie complementara paralela
In figura 2., stimulus-ul din tranzactia initiala A-A (cererea unei informatii, de pilda) primeste o reactie de tip C-P, astfel ca cele doua tranzactii reprezentate prin sageti nu mai sunt paralele, ci incrucisate; o astfel de tranzactie se numeste tranzactie incrucisata, si, in aceasta situatie, comunicarea este deformata, compromisa sau stopata. De exemplu, daca sotul intreaba: "Stii cumva unde sunt butonii mei?", iar sotia riposteaza "Oare de ce sunt numai eu de vina intotdeauna ca tu nu-ti gasesti lucrurile?" o tranzactie incrucisata s-a produs, si discutia despre butoni va inceta. E una din tipurile cele mai frecvente de reactie de transfer, iar tranzactia care o reprezinta este o sursa inepuizabila de tulburari ale comunicarii. In figura urmatoare, (fig.3) este schematizata o tranzactie incrucisata in care un stimulus A-A (constituit de o intrebare oarecare) primeste un raspuns condescendent si emfatic de tip P-E, tip de tranzactie curent in reactia de contra-transfer, a doua mare sursa de neintelegere in relatiile interpersonale.
Fig. 2
Matematic vorbind, pot exista un numar de 72 tranzactii incrucisate, din care numai 4 se regasesc mai fracvent in comunicarea interpersonala cotidiana; astfel, pe langa cele doua descrise mai sus de tip AA/CP si AA/PC, la fel de frecvente sunt altele doua: CP/AA, reprezentand raspunsul "exasperant" al cuiva care furnizeaza un feed-back sec, rational, strict informativ unei persoane care nu dorea decat simpatie si destindere, respectiv PC/AA, tranzactie numita insolenta, in care se ofera un raspuns de asemenea faptic, rational, detaliat, cuiva care nu ceruse decat incuviintare supusa. "Tranzactiile complementare si cele incrucisate sunt tranzactii simple, care se produc deschis la un singur nivel al structurii personalitatii";
Tranzactiile duble sunt acele tranzactii vagi si ambigue (numite, in mod curent, "cu subintelesuri") in care exista un decalaj intre ceea ce se spune in mod deschis (adica la ceea ce AT numeste nivelul social al tranzactiei) si ceea ce se intelege ca mesaj "real"(si pe care AT il numeste nivel psihologic). Acest tip de tranzactie duble: AA/PC/PC (fig.3) stau la baza unui tip foarte frecvent de comportament intre indivizi, si pe care AT il numeste joc psihologic.



P P P P
N AA A/A=nivel social


A A A A
![]()
C C PC/PC=nivel psihologic
Fig.
Fig. 3
Exemplu 1. Nivel social: "Vanzatorul: -Ma tem ca acest produs este cam scump! / Cumparatorul: - Il voi cumpara, totusi! " Nivel psihologic: " Vanzatorul: Pari cam sarantoc ca sa-ti permiti acest produs/ Cumparatorul: Drept cine ma iei? Si cine te crezi?Las ca vezi tu! "
Exemplu 2. Nivel social: " Barbatul: - Vreti sa-mi vedeti colectia de discuri? / Femeia: - Cu placere, ador muzica!" Nivel psihologic: Barbatul - Vino sa flirtam la mine acasa!/ Femeia: - Bine, am si eu chef." Asa cum am vazut, tranzactiile paralele, pot continua, teoretic, la infinit, in timp ce tranzactiile incrucisate ajung la ruptura sau la conflict, ceea ce AT numeste reguli de comunicare; astfel, pot fi delimitate tranzactii pozitive si tranzactii negative. Primele sunt de tipul OK-OK, si sunt eficiente si productive, de exemplu: A-A/A-A, PB-A/A-A, CL-CL/PB-CL; celelalte se construiesc pe pozitiile OK/Non-OK, Non-OK/OK si Non-OK/Non-OK, sunt ineficiente si contraproductive, antrenand inevitabil esecul comunicarii si conflictul: PN-CA/CA-PN, PB-CA/CA-PB, CA-CA/CA-PB.
Analiza tranzactiilor
In AT comunicarea este compusa din unitati simple numite tranzactii. O tranzactie consta dintr-un singur stimul si un singur raspuns, verbal sau non-verbal. Este unitatea de baza a actiunii sociale. In analiza tranzactiilor se explica ce se intampla in procesul comunicarii, pornind de la cele trei stari descrise mai sus.
Tipuri de tranzactii:
a. Tranzactiile paralele
In tranzactia complementara raspundem interlocutorului din starea pe care ne-a solicitat-o.

Regula
I a comunicarii, dupa Berne:
'Cat timp tranzactiile raman paralele, comunicarea poate
continua nelimitat'.
b. Tranzactiile incrucisate
Cand tranzactiile nu sunt paralele (cineva vorbeste din starea de parinte si interlocutorul raspunde din starea de adult) are loc o tranzactie incrucisata.

Regula
a II-a a comunicarii, dupa Berne:
'Cand o tranzactie este incrucisata, comunicarea este
intrerupta'.
c. Tranzactiile ascunse
In acest tip de tranzactii, alaturi de mesajul explicit - stimul verbal direct, se transmit si mesaje ascunse - la nivel emotional, non-verbal. Intotdeauna implica cel putin doua stari din cele trei descrise anterior. Adesea mesajul aparent este directionat Adult spre Adult, in timp ce mesajul psihologic este emis de catre Parinte sau de catre Copil.

Regula
a III-a a comunicarii, dupa Berne:
'Comportamentul aparut in urma tranzactiilor ascunse este
determinat la nivel psihologic si nu la cel social'.
Jocuri psihologice Fiecare dintre noi avem anumite forme automatizate de comportament (jocuri) ce urmeaza anumite reguli, utilizate inconstient din dorinta de a fi confirmati, recunoscuti de ceilalti.
EXERCITIUL NR. 5
Desenati sagetile corespunzatoare urmatoarelor tranzactii:
1. A - Unde este biroul de contabilitate? A-A
B - La etajul al II-lea, camera 3.
2. A. - As merge la cinema in seara asta! C-C
B. - Si eu.
3. A. - Parlamentarii astia sunt niste hot!
B. - Da, toti sunt o apa si-un pamant! PN-PN
4. A. - Esti un idiot!
B. - Tu esti un idiot! PC-PC
5. A. - Pune-ti centura de siguranta!
B. - Bine. PN-CA/CA-PN
6. A. - Nu reusesc sa fac acest lucru.
B. - Asteapta, iti arat eu. C-PB/PB-C
7.A. - Of, iar am gresit!
B. - Tampitule! Nu esti bun de nimic! C-PN/PN-C
8.A. - Oare cum sa fac sa reusesc asta ?
B. - Daca am incerca asa? A-A/C-A
9.A. - Te iubesc.
B. - Si eu. C-C
10. A. - Vii diseara sa-ti arat colectia mea de timbre?
B. - Nu, am o intalnire. Nivel social - A-A
Nivel psihologic- C-C
11. A. - Poti sa-mi arati cum se face acest exercitiu?
B.- Lasa-ma in pace, am atatea pe cap! C-PB / PN-C
12. A- Mi-ar place sa vad meciul din seara asta!
B. - Esti un netot, numai la distractie ti-e mintea! C-C/PN-C
9. Tipuri de "JOCURI PSIHOLOGICE" descrise de Berne Eric Berne introduce jocurile psihologice intre conceptele AT in Games people play; el descrie aici aproximativ 50 de situatii tipice de comportament social, definind jocurile psihologice ca "patternuri disfunctionale repetitive" si aplicandu-le, pentru a le face mai usor comprehensibile marelui public, denumiri usor memorabile: Alcoolicul, Tribunalul, Datornicul, Piciorul de lemn, Hotii si vardistii etc. Evident, elementele specifice se pot schimba, dar mecanismul de baza ramane acelasi, fie ca este vorba de o discutie intre soti, fie de reuniunea consiliului de administratie al unei companii multinationale. Sa ne amintim ca este vorba de situatii pe care nu le producem intentionat si care au caracteristica de a se repeta cu o neplacuta regularitate. Pe de alta parte, fiecare din noi are tendinta sa prefere unele jocuri fata de altele, in functie de mediu si de interlocutor. Existenta lor este explicabila prin nevoia universal umana de "structurare a timpului", aceasta, la randul ei, manifestandu-se in cadrul legii universale a perceptiei structurate si enuntata in detaliu de filosofia si psihologia formei, sau gestaltismul (de la gestalt - germ.= forma). Gestaltismul apare la inceputul secolului trecut in Germania: W.Khler, K.Kofka si M.Wertheimer enunta, in acest sens, principalele legi ale perceptiei, in baza carora activitatea perceptiva a oricarui subiect tinde catre cautarea "formelor bune": 1) Legea proximitatii- elementele apropiate spatial sau temporal tind sa fie percepute in grup, alcatuind o configuratie; 2) Legea similaritatii- elementele asemanatoare tind sa fie percepute in cadrul aceleiasi configuratii; 3) Legea simetriei- figurile care permit una sau mai multe axe de simetrie sunt mai usor recunoscute ca "forme bune"; 4) Legea continuitatii- elementele unei configuratii constituind o "forma buna" sunt percepute ca fiind orientate in aceeas directie; 5)Legea inchiderii - perceptia umana are tendinta de a construi forme inchise, non-lacunare, si care sa posede un sens. Eric Berne include jocurile psihologice in cadrul celor 6 forme de structurare a timpului:
Izolarea - sau absenta (premeditata sau nu, dorita sau nu) a oricarei tranzactii. Izolarea poate aparea ca un efect normal al suprasaturarii tranzactionale, al unui surplus de stroke-uri - cum mai poate fi definit stres-ul.
Ritualurile- sunt definite de Berne ca "manevre neutre de apropiere" transculturale, golite de orice continut informational si avand un puternic rol fatic si continand un numar minim, dar strict necesar, de stroke-uri; ex.: "-Ce mai faci?" "-Bine, multumesc, dar tu?"
"Pase-time[14]"-urile - forma extinsa a ritualurilor, care pot prelungi interactiunea fara pericolul unei angajari profunde, fara riscul unei adevarate implicari a partenerilor; au un rol important pentru ca permit operatia de selectare a persoanelor cu care dorim sa avem tranzactii mai importante.
Activitatile - toate formele de activitati cotidiene de tip A↔ A, indreptate catre un scop (de la solicitarea unei informatii, pana la construirea in grup a unui utilaj).
Proximitatea (intimitatea) - cel mai dificil tip de tranzactii, dar si cel mai benefic, bazat pe relatia CL ↔ CL si caracterizat prin autenticitate si spontaneitate: "De-ar da omul toate averile din casa lui pentru dragoste, tot n'ar avea decat dispret"(Cantarea Cantarilor- 8,7). Proximitatea este insa de multe ori resimtita ca un pericol, ca o dezvaluire a propriilor vulnerabilitati, aceasta teama activand adevarate sisteme de protectie individuale datarita carora oamenii isi pot trai intreaga viata fara sa cunoasca proximitatea, intimitatea.
Jocurile psihologice - sunt definite in AT drept serie complexa de tranzactii incrucisate, de regula transgenerationale, in care protagonistii, in numar variabil, interpreteaza in mod inconstient unul (sau mai multe) din cele trei roluri : Persecutor, Victima ori Salvator, obtinand un beneficiu psihologic. Jocurile psihologice sunt, de asemenea, tranzactii duble, cu o puternica incarcatura negativa, in care nivelul social (exprimat), de suprafata, coexista cu nivelul psihologic (subinteles), neexprimat direct. Desi potential conflictuale, ele pot si descarca pe cai ocolite o enorma cantitate de agresivitate.
"Avantajul" unui joc psihologic consta in faptul ca persoanele implicate traiesc un moment intens fara ca nimic sa se imbunatateasca sau sa se rezolve. In afara de aceasta, se poate schimba o cantitate apreciabila de stroke-uri, evitandu-se angajarea impusa de apropiere si, mai ales, se rezolva oarecum problema stresanta a petrecerii timpului impreuna cu altii, atunci cand este imposibila sustragerea. Un ultim "avantaj" - fiind un joc psihologic si unul din cele mai bune moduri de a NU rezolva o problema - consta in faptul ca protagonistii il pot reincepe la infinit, fara a-si modifica pozitiile: ei pot contamina emotional (de furia, tristetea, neputinta lor) si pe ceilalti parteneri de comunicare, fara a obtine, in schimb, asa cum se autoiluzioneaza, propria decontaminare emotionala. Iata descrierea succinta a unora din cele mai comune si mai usor de recunoscut jocuri, abordate transcultural.
JOCUL "Al meu este mai bun decat al tau" - Unul dintre jocurile de baza, asa de mult raspandit incat prezenta sa coplesitoare poate sa ne impiedice sa vedem stupiditatea si inutilitatea lui. Este un joc in care pozitia 'Eu sunt OK - Tu nu esti OK' devine evidenta. Eu (Persecutorul) incerc sa-ti demonstrez ca eu, sau o calitate a mea, sau ceva ce eu posed, este mai bun decat ceea ce esti sau ai tu si te pun in pozitia de Victima. Variatiunile sunt practic infinite. Se trece de la lucruri relativ inofensive cum ar fi 'catalogul meu este mai bun, mai complet, mai actual', 'stiloul meu', 'haina mea', la lucruri mult mai grave: 'religia mea', 'fiul meu', 'culoarea pielii', si mai departe, la altele situate intre cele doua extreme: 'masina mea', 'facultatea mea', 'lecturile mele','prietenii mei'etc Observtie: Daca eu critic masina cuiva pentru ca vreau sa i-o vand pe a mea, nu fac un joc psihologic, ci apelez la o strategie comerciala . Caracteristica unui joc de acest tip este aceea de a nu avea alt scop decat cel al minimalizarii interlocutorului. Evident, victima poate gasi la randul sau ceva de criticat si jocul poate continua astfel cu rolurile inversate.
JOCUL: 'Nu-i asa ca este teribil?' (cu varianta: " Este ingrozitor !") Consta in a gasi acel 'tovaras de suferinta' caruia sa i te lamentezi despre o situatie anume si care sa iti dea dreptate, sa te sustina si, la randul lui, sa-ti prezinte o situatie personala asemanatoare. Obiectul lamentarilor poate varia dupa chef: timpul ('Nu se mai incalzeste odata!'), guvernul ('Toti corupti si incapabili'), seful, tinerii de azi, functionarii de stat, taximetristii, mancarea, sanatatea Bineinteles, nimeni nu va misca un deget pentru a imbunatati lucrurile, chiar si atunci cand acest lucru ar fi posibil. Este un joc extrem de raspandit, dar nu foarte daunator, chiar daca este absolut inutil (un vechi proverb peruan spune, astfel: 'Daca exista un remediu, de ce te plangi? Daca nu exista un remediu, de ce te plangi?').
JOCUL "Da-mi un sut!" - Daca au ocazia, unele persoane se comporta in societate intr-un mod absolut nepotrivit situatiei in care se afla. Astfel, ele provoaca un raspuns agresiv din partea celor din jurul lor, care devin astfel Persecutori si le dau un 'sut' (fie in sensul fizic - cum este atunci cand cineva este dat afara din restaurant - fie psihologic - 'Sa nu te mai vad niciodata pe aici'. Aceasta le va permite sa se plaseze in rolul de V si sa gaseasca usor o persoana care sa joace rolul de S.
JOCUL "Incerc numai sa te ajut!" - Joc la care recurge cineva care dovedeste un zel excesiv in a ajuta o persoana din familie, de la serviciu etc. (Salvator), pana cand obiectul unor atat de exagerate atentii este 'asfixiat'. In acest moment, pozitia sa se schimba in aceea de Persecutor, culpabilizand Victima. ('Ce ingrat esti, incercam doar sa te ajut!'). Succesiv, s-ar putea pune in rolul de Victima chiar pe el insusi, lamentandu-se ca nimeni nu apreciaza eforturile sale.
JOCUL "Cusurgiul" - Consta in a observa modul in care se comporta (in munca, sau in societate) cineva pana cand se reuseste a se descoperi un defect. Acesta va fi apoi folosit pentru a pune in discutie interlocutorul ca persoana si a i se nega toate realizarile anterioare. Cel care se pune in rolul Persecutorului nu este deloc interesat, in acest caz, de calitatea lucrului (altfel, ar colabora pentru gasirea solutiei), ci va cauta doar un pretext pentru critica. Veti observa, surprinzator, cat de numeroase sunt acele persoane care, negasind nici o neregula in activitatea pe care o desfasurati, vor fi dezamagite si critice, in loc sa va felicite
JOCUL "Da, dar" - Persoana cere o parere sau un sfat, dar respinge in mod sistematic tot ceea ce i se ofera, demonstrand, mai mult sau mai putin logic, ca in cazul sau solutia oferita nu va functiona ('Da, dar'). Aceasta, pana cand persoanele care ofera sfaturi (Salvatorii) obosesc si intra in rolul de Persecutori ('Nu-ti va merge bine nimic. Cu atat mai rau pentru tine'), iar el intra in rolul de Victima ('Nimeni nu ma intelege si nu vrea sa ma ajute cu adevarat! Nimeni nu ma iubeste/nu are nevoie de mine etc.').
JOCUL "Bateti-va !" - (cel putin 3 jucatori) Un joc foarte insidios, pe parcursul caruia A va face tot posibilul ca B si C sa intre in conflict, situandu-se apoi in afara partilor (si trecand astfel la un alt joc numit 'Acum sa va vad eu pe voi'); "perfid" si 'insidios' pentru ca, asa cum se intampla in toate jocurile, nimeni nu isi recunoaste deschis obiectivul, si A ar putea sa nege in orice moment ca i-ar fi provocat pe cei doi, B si C in mod deliberat. Este preferat mai ales de catre femeile care se amuza in fata spectacolului rivalitatii a doi barbati, spectacol provocat si intretinut de catre acestea, rod al "straduintei" lor si care le ofera satisfactie.
JOCUL "Tribunalul" - (cel putin 3 jucatori) Este un joc indeosebi "conjugal" dar se intalneste la toate nivelurile comerciale si profesionale. A, care traieste sau lucreaza cu B, profita de prezenta altor persoane pentru a-l critica aspru pe B (care poate fi sau nu prezent). Celelalte persoane iau pozitie in favoarea sau impotriva lui B care ramane, oricum, izolat in pozitia de Victima, confirmand o data in plus proverbul francez "Les absents ont toujours tort".
JOCUL "Piciorul de lemn" - (Metafora pentru toate incapacitatile reale sau imaginare ale "jucatorului" care se plaseaza benevol in pozitia de victima ('Cum pot eu sa fac ceva, nu vezi ca'), sperand sa gaseasca un Salvator care sa se angajeze sa-i rezolve problemele. Acest exemplu reprezinta simbolul tuturor lipsurilor reale sau presupuse de care ne plangem si pe care le utilizam ca pretext pentru inactivitate, lene, neimplicare etc. ("sunt prea scund", "sunt negru", "nu am bani", "nu am studii", "sunt prea tanar", "sunt prea batran", "nu sunt", "nu am"), uitand ca altii, in aceeasi situatie, au obtinut rezultatele pe care si le-au propus.
JOCUL "Violatorul" - Este situatia tipica in care femeia provoaca barbatul pentru ca apoi sa se retraga, spunandu-i ca este maniac si pervers si sustinand ca a fost inteleasa gresit. De fapt, este jocul perfid al puterii - practicat la toate nivelurile - care consta in a manifesta disponibilitate fata de interlocutor, impingandu-l astfel sa se descopere, pentru ca apoi sa-l lovesti dupa ce a coborat garda. Ca si "Bateti-va!", este unul din cele mai periculoase jocuri si, de obicei, provoaca reactii violente; este extrem de productiv pe planul creatiilor literare si artistice, numeroase romane, piese de teatru, filme avand ca subiect "triunghiul conjugal".
JOCUL "Alcoolicul" - Joc de societate la care pot participa multe persoane, in diverse roluri. Alcoolicul (Victima) se imbata pentru ca, dupa el, viata - sau ceilalti - il persecuta. Sotia, un prieten, medicul familiei il consoleaza (Salvatori) si incearca sa-l dezvete de acest viciu. Uneori reusesc - pentru putin timp, pana la betia urmatoare - si apoi totul reincepe, intre timp, nu vor uita sa-l persecute pe alcoolic ("Nu ti-e rusine? Uite ce faci din vietile noastre!"). Acest exemplu reprezinta metafora tuturor obisnuintelor nedorite, dar percepute de cel in cauza ca o fatalitate (vesnicul intarziat, jucatorul hazardului, obezul) si care, intr-un fel sau altul, fac rau celor apropiati. Bineinteles, nimeni nu se angajeaza serios pentru a rezolva problema "alcoolicilor". Jocul este repetitiv si implica toate cele trei roluri.
JOCUL "Fara tine as fi fost/facut" Joc conjugal frecvent, dominat de fraze tipice precum Ti-am sacrificat cei mai frumosi ani a vietii mele!! Fara tine, as fi fost mai fericita (mai realizata profesional, mai bogata etc. etc.).
JOCUL "Surmenatul" - joc solitar, preferat de catre cel care poarta intreaga raspunere pe umerii sai, fie acasa, fie la serviciu; ilustreaza excelent dinamica generala a jocurilor psihologice, conform careia eludarea (premeditata sau inconstienta) a pozitiei de Adult duce inevitabil la alternarea celor doua roluri antagonice: Victima/Calau (Persecutor). Astfel, in loc sa ceara ajutor (pozitie tipica de Adult), persoana care adopta acest joc munceste cu disperare , din ce in ce mai mult, iar in timpul care-i mai ramane se plange (Victima) si/sau ii barfeste pe ceilalti (Persecutor).
JOCUL "Capra vecinului - nu numai ca multe persoane se complac si au satisfactii in contemplarea necazurilor altuia (situatie care se intampla in toata lumea), dar fac si tot ce se poate pentru ca acela care cauta sa-si imbunatateasca situatia sa nu reuseasca in ceea ce si-a propus, chiar daca din aceasta ele nu au nici un folos. Se observa existenta acestei situatii in Rusia sau in Romania postcomunista, unde primii agricultori care incepusera sa faca afaceri cu strainii isi gaseau casa incendiata de vreun vecin invidios.Daca dintr-un punct de vedere psihologic, sau mai bine zis, psihiatric, poate exista o explicatie (persoana care reuseste acolo unde, in aceleasi conditii, eu nu reusesc, este dovada clara a incapacitatii mele si din acest motiv va fi oprita sau eliminata), din punctul de vedere al rezultatelor nu cred ca este nevoie sa demonstram nebunia unui astfel de comportament, care nu reprezinta altceva decat un foarte mare obstacol in crearea unui mecanism economico-politic functional si productiv.
Berne sustine ca, in mod paradoxal, persoanele tin la propriile jocuri si nu sunt dispuse sa renunte la ele cu usurinta, chiar daca multe sunt potential conflictuale. Adevarul este ca, data fiind participarea inconstienta si avand ca principal obiectiv schimbul de 'strokes', iesirea dintr-un joc poate fi foarte dificila. Pe deasupra, nu se utilizeaza corect starea Adult, unica stare care ar rezolva situatiile in mod eficient si ne-ar permite sa ne dam seama ca este mult mai constructiv sa ne folosim energiile pentru rezolvarea adevaratelor probleme (care, cu siguranta, nu lipsesc), mai degraba decat sa raspundem automat, dupa cum am fost programati: fie sa ne plangem continuu (Victima), fie sa incercam sa ne facem doriti ghicind nevoile altuia (Salvator), fie sa-i criticam, sa-i atacam, sa-i minimalizam pe ceilalti (Persecutor). Tranzactiile ascunse, sau cel putin incrucisate pe care se construiesc "jocurile" nu sunt niciodata de tip Adult↔Adult, ci PN↔C, ori CA↔P! Se recomanda folosirea capacitatilor de observare pentru a invata sa recunoastem si sa demontam ceea ce aici doar am sintetizat, dar fara sa aungem sa jucam 'Analiza Tranzactionala' (asa a denumit, cu simt al umorului, Eric Berne, jocul celui care, dupa ce i-a citit cartea, s-a dedicat descoperirii jocurilor altuia, fara a le vedea pe ale sale) .
10. CONFRUNTAREA de tip OK↔OK - ca antiteza a "jocurilor psihologice" (si ca modalitate de evitare a acestora) trebuie sa plece de la premisa ca ameliorarea relatiilor interumane (familiale sau profesionale), ca si dezvoltarea si schimbarea personala nu se pot consolida decat pe tranzactii pozitive si comportamente de tip OK↔OK; de asemenea, este important sa consideram ca orice fiinta umana are dreptul fundamental de a accepta sau de a refuza tentativele de comunicare ale celorlalti, mai ales atunci cand acestea sunt profund asimetrice, adica daca Celalalt initiaza sau continua interactiunea de pe pozitia PN, a Persecutorului in extremis , a Victimei ori Salvatorului. Dezechilibrul relatiilor de tip non-OK - al caror mecanism este tentativa (declarata sau nu) de dominare, asadar lupta pentru putere, pentru suprematia inter-relationala (chiar si in cazul unor aparent insignifiante razboaiemenajere) si care implica mult mai multi "actori" decat ne inchipuim. O confruntare non-OK, daca este inevitabila, se poate demonta si reduce la o confruntare pozitiva, de tip A↔A; pentru aceasta, este necesara cunoasterea si respectarea unor reguli elementare: 1) Solicitarea si acordarea de informatii clare si pertinente; 2) Delimitarea si formularea clara a unui obiectiv comun; 3) Recunoasterea emotiei celuilalt (Ex.: Vad ca sunteti nemultumit/ Inteleg ca esti suparat.furiosetc.); 4) Initierea unei tranzactii Adult↔Adult. De cele mai multe ori, conditia esentiala pentru ameliorarea relatiilor cu ceilalti consta tocmai in recuperarea puterii de a fi asertiv, adica de a accepta sau refuza izolarea, apropierea, ritualurile sau jocurile psihologice la care ne invita ceilalti. Altfel spus, pentru a evita tranzactiile toxice, ascunse, trebuie sa invatam sa ne sustragem oricaror forme de comunicare patologica.
11. Aspecte ale patologiei comunicarii Despre ceea ce J.Delay numeste afazie latenta, ca si despre afazie , in general, nu se poate vorbi la singular; afectarea capacitatii articularii si/sau comprehensiunii limbajului - resimtita dramatic, atat de individul in cauza, cat si de anturajul acestuia- ofera un tablou extrem de divers, pe care nu ne propunem sa-l dezvoltam aici, el sustragandu-se campului de cercetare abordat. Iesind, insa, din aria neuro-psihiatrica a patologiei limbajului, si revenind in zona limbajului cotidian, nu putem afirma ca parasim si posibilitatea detectarii oricarei patologii a comunicarii, cum ar fi cea pe care teoreticienii Scolii de la Palo Alto, ai Programarii Neuro-Lingvistice, ori ai Analizei Tranzactionale, o denunta.
Abordand patologia comunicarii din perspectiva efectelor pragmatice ale axiomelor comunicarii, P.Watzlawick (Pragmatics of Human Communication) pleaca de la premisa ca "nu exista o mai buna ilustrare a efectelor pragmatice ale acestor axiome decat punerea lor in legatura cu tulburarile care pot afecta comunicarea umana(s.n.)"; in conceptia autorului, nu numai limbajul propriu-zis schizofrenic (negand, contrar axiomei imposibilitatii non-comunicarii, pe langa mesajul insusi, si angajamentul inerent oricarei comunicari) contine si antreneaza grave perturbari de sens, obligand auditoriul sa selecteze intre multiplele sensuri posibile - si, eventual, incompatibile - ale "discursului" sau, ci si limbajul asa-zis normal, moneda de schimb a conversatiilor noastre zilnice, in contextul familial sau socio-profesional. Formele cele mai frecvente pe care le poate inregistra suferinta limbajului in cadrul interactiunilor cotidiene sunt uimitor de diverse, si pot trece, de multe ori, neobservate, efectul (boli psihosomatice, certuri, tensiuni relationale inter-individuale sau chiar internationale: conflictele mondiale) prevaland asupra cauzei ("invizibile"distorsiuni ale comunicarii). Cercetatorii le-au pus in lumina pe cele flagrante, dintre care selectam:
Negarea comunicarii - imbraca- dupa Watzlawick - doua forme distincte: a) respingerea oricarei angajari verbale (asa cum am vazut, insa, limbajul non verbal poate spune, in locul cuvintelor, ceea ce interlocutorul refuza sa faca); b) pseudo-acceptarea comunicarii, adica angajarea pur formala in relatia de comunicare verbala, anuland, insa, prin tehnici diferite, continutul manifest al mesajului: "Anularea, adica maniera de a comunica care declara nul propriul mesaj, sau cel al interlocutorului (.) poate lua diferite forme: contradictii, incoerente, schimbari subite ale temei discutiei, fraze neterminate, nonsensuri, obscuritati de stil sau manierisme ale discursului, interpretari literale ale metaforei, sau metaforice ale observatiilor literale etc."
Pentru a exemplifica, este suficient sa privim in jurul nostru: dez-angajamentul postural elocvent (emotional/intelectual, in acelasi timp) al unuia din partenerii unei conversatii fortuite, in care un interlocutor, in timp ce vorbeste, desi aparent interesat de subiect, trepideaza cu nervozitate din genunchiul drept, sau loveste masa cu degetele, metaforizand corporal, anticipativ, inconstient, dorinta urgenta de a pleca, si anuland, astfel, printr-o comunicare non verbala, comunicarea verbala in curs. P.Watzlawick analizeaza, in acelasi sens, scena initiala din filmul lui S.Kubrick - Lolita (regizat de acesta in 1962, dupa cartea lui V.Nabokov), scena oferind, dupa expresia lui Watzlawick, "un magnific exemplu pentru acest tip de comunicare", si in care Quilty, amenintat cu pistolul de catre Humpert, se lanseaza intr-un delir verbal insotit de o agitatie paroxistica, in timp ce rivalul sau incearca, zadarnic si ineficient, sa-i transmita mesajul : "Iata, acum o sa te impusc!" "Recurge la acest gen de comunicare orice persoana prinsa intr-o situatie in care este constransa sa comunice, dar doreste sa evite, in acelasi timp, angajamentul inerent oricarei comunicari.(.) La extremitatea clinica a spectrului comportamentului, o comunicare ( sau un comportament) de "nebun" nu este neaparat si semnul unui spirit bolnav, ci poate constitui singurul raspuns posibil la contextul absurd si insuportabil al comunicarii(s.n.)."
Simptomul ca forma de comunicare - denuntat de Freud inca din 1901- in Cazul Dora, Omul cu sobolani s.a - ca "raspuns negativ" inconstient, imposibil de verbalizat, la o propunere (reala sau fictiva) inacceptabila, si asupra semnificatiei (dificil de interpretat) a caruia Freud avertizeaza: "Cand este vorba despre lucruri care, prin tendinta de a se ascunde, au devenit patogene, putem sa nu ne asteptam ca bolnavii sa le ofere medicului si trebuie sa nu ne multumim cu primul "Nu"care se opune cercetarii." Analizand transferul* din punctul de vedere al comunicarii, D.D.Jackson si J.Haley (Transference revisited) il definesc drept "singurul raspuns posibil la o situatie neobisnuita", iar P.Watzlawick, la randul lui, asimileaza simptomul unui " mesaj non verbal": astfel, somnul, raguseala, tusea, betia, frigiditatea, uitarea s.a. resping- mult mai violent, mai transant decat dez-angajamentele posturale - invitatia (sub o forma sau alta) la comunicare, justificand "imposibilitatea" (total "inocenta" ) a acesteia; descriind personalitatea diferita a americanilor si a rusilor, M. Mead observa - noteaza tot Watzlawick- faptul ca americanul va invoca scuza unei migrene pentru a se dispensa de participarea la o receptie, in timp ce rusul va avea intr-adevar o migrena.
Tangentializarea - P.Watzlawick analizeaza in detaliu aceasta "structura psihotica a comunicarii"- intalnita, insa, in comunicarea interpersonala curenta mai des decat s-ar crede; in linii mari, tangentializarea se rezuma la urmatoarea schema comunicativa: A face catre B declaratia a, iar B riposteaza catre A cu declaratia b, confirmand, pe de o parte, intentia comunicativa a lui A, dar neglijand, pe de alta parte, continutul mesajului a si scopul urmarit de emitatorul acestuia. In Disturbed Communication, J. Ruesch ofera cunoscutul exemplu:"Johnny alearga in intampinarea mamei sale, strigand vesel: "Uite, am gasit un vierme!". Mama il priveste pe Johnny si, cu o voce seaca si fara chef de gluma, raspunde: "du-te si te spala pe maini!" Copilul, complet dezamagit, descurajat si zapacit, intra in casa. Initiind direct si brutal un nou mesaj - ordinul de a se spala pe maini- atunci cand vede mainile murdare de noroi ale baiatului, mama neglijeaza mesajul intentional al fiului ei. Daca mama ar fi spus:" da, e un vierme dragut", apoi ar fi marcat o pauza in discurs, ea ar fi putut atunci initia un nou mesaj: "si acum, du-te sa te speli pe maini"
Descalificarea - constituie o varietate de raspuns descrisa, in 1967, de C. E. Sluzki et al. (Transactional Disqualification), autorii postuland ca, in eventualitatea absentei indicatorilor metacomunicationali si a non conformarii continutului la context, ori a neconcordantei dintre acesti indicatori si continut, mesajul a este descalificat de catre mesajul b: efectul cel mai frecvent al descalificarii este confuzia, deoarece A nu poate sti cu certitudine daca B este in acord sau in dezacord cu continutul a, daca-l respinge, il desconsidera ori agreeaza. Intr-un exemplu oferit de P.Watzlawick, fiul se plange: "Ma tratezi ca pe un copil!", iar mama riposteaza:"Dar tu esti copilul meu!" Efectul unei asemenea replici- comenteaza autorul- este complet naucitor din punct de vedere emotional, inrudindu-se cu "tehnica confuziei" practicata de M.H.Erickson in vederea inducerii transei hipnotice, sau cu ceea ce Freud numeste "cuvant de spirit" si din structura caruia nu sunt excluse tendintele agresive:"Impiedicarea denigrarii sau a ripostei jignitoare prin imprejurari exterioare constituie un caz atat de frecvent, incat spiritul tendentios este folosit cu precadere pentru facilitarea agresiunii (s.n.) sau a criticii adresate celor sus plasati care revendica autoritate. Cuvantul de spirit reprezinta o revolta fata de o astfel de autoritate, o eliberare de presiunea exercitata de ea. In aceasta consta, de altfel, si forta de atractie a caricaturii, care ne face sa radem chiar si atunci cand e nerusinata, numai pentru ca ii conferim meritul de a constitui o revolta asupra autoritatii."
Mistificarea - se sprijina tot pe confuzie - dupa cum afirma Watzlawick -, insa, de data aceasta, divergenta nu mai apare intre afirmatia a si replica b, ci intre declaratia lui A si perceptia emotionala (sau intentia) lui B; R.Laing ( Mystification, Confusion and Conflict) imprumuta termenul din scrierile lui Marx, unde acesta desemneaza aspectul particular al sentimentului de inadecvare generat de raportul intre clasa muncitoare si exploatatori. Mai "familiar" noua pare tipul a de discurs totalitar, angajat, al "tovarasului" A, manipuland perceptia emotionala a lui B, a carei exteriorizare informala - nivel superficial - b1 (aplauze, urale etc.) nu reprezinta decat o disimulare conjuncturala, dublata de un discurs formal individual b2 - de profunzime - foarte bine structurat, dar inavuabil: "In forma ei cea mai abstracta, mistificarea este enuntata astfel: "Ceea ce vedeti (ganditi, auziti, simtiti) este fals. O sa va spun eu cum sunt lucrurile in realitate (adica ceea ce trebuie sa auziti, sa ganditi, sau sa simtiti)". Un astfel de mesaj nu va avea decat un slab efect asupra unei persoane obisnuite sa se increada in propriile perceptii asupra realitatii interne sau externe. Insa acolo unde supravietuirea unuia dintre parteneri este in joc ( in diada copil/parinti, in special) sau in alte situatii extreme( persecutia politica sau spalarea creierului) astfel de mesaje pun receptorul intr-o situatie insuportabila. Daca receptorul este incapabil sau ii este interzis sa demistifice situatia metacomunicand asupra ei, va fi prins in capcana si nu va putea niciodata sa scape, atata vreme cat mistificarea se extinde la constiinta mistificarii insasi(s.n.)."
Paradoxul - constituie un tip de mesaj care contine in el insusi propria contradictie; un astfel de mesaj a contine - de regula - o injonctiune careia destinatarul B nu i se poate supune decat nesupunandu-se, relatia de comunicare interpersonala dintre A si B fiind pusa sub semnul confuziei: a=b si, simultan, a≠b. In exemplul clasicului paradox al lui Epimenide din Creta: "Toti cretanii sunt mincinosi" mesajul afirma o realitate b, metacomunicand simultan realitatea a: "Eu sunt cretan", a fiind identic si, in acelasi timp, nonidentic cu b - ceea ce constituie tocmai substanta paradoxului, concretizata mai ales in proverbe: "Mfie-toi de tes prires, car tu en seras exhauss Ai grija pentru ce te rogi, caci s-ar putea sa primesti", sau "Plus a change, plus c'est la mme chose/Cu cat ceva se schimba, cu atat ramane la fel. (prov. fr.), cu varianta oarecum inversata: "On ne peut changer que si l'on s'accepte soi-mme tel quel /Nu te poti schimba decat daca de accepti asa cum esti"(C. Rogers), sau in fraze celebre:"Daca vrei sa comanzi, trebuie mai intai sa te supui"(F.Nietzsche) , "Credo quia absurdum est/ Cred pentru ca este absurd"(Tertulian) , "Life is easier than you'd think; all is necessary is to accept the impossible, do without the indispensable and bear the intolerable/ Viata e mai simpla decat ai crede; tot ce trebuie sa faci este sa accepti imposibilul, sa te lipsesti de ceea ce-i indispensabil si sa tolerezi intolerabilul"(K.Norris) etc.
Dubla constrangere In 1956, G.Bateson, D.D.Jackson, J.Haley, J.H.Weakland publica studiul Toward a Theory of Schizophrenia - in care, analizand conceptul de paradox in cadrul comunicarii intrafamiliale, lanseaza teoria dublei constrangeri (engl.:double bind), teorie care a revolutionat intreaga scoala de psihoterapie ulterioara, si al carei nucleu teoretic incepuse sa se cristalizeze cu 15 ani inainte, in cursul cercetarilor intreprinse, impreuna cu M.Mead, in Insula Bali, asupra desensibilizarii emotionale infantile in cadrul interactiunii mama/copil (Balinese Character: A Photographic Analysis); astfel, descriind comportamentul de evitare al copilului prins intre doua comunicari paradoxale, cea a mesajului verbal al mamei, de exemplu, si mesajul corporal contrar al acesteia, Bateson afirma: "(.)Copilul este blocat, nu are nici o posibilitate de alegere: va fi pedepsit si daca interpreteaza corect mesajul mamei, si daca-l interpreteaza gresit. Este prins intr-o dubla constrangere. Singura iesire posibila ar fi sa poata face un comentariu asupra pozitiei contradictorii in care l-a plasat mama. Insa ea il va impiedica mereu sa "metacomunice", atrofiind, la el, aceasta capacitate necesara oricarei interactiuni sociale.(s.n.)" P.Watzlawick, (The Language of Change. Elements of Therapeutic Communication) explica teoria in termeni foarte simpli: "Exista o intreaga clasa de injonctiuni care au, drept numitor comun, paradoxul urmator, folosit adesea: "Fii spontan!" Le gasim, in general, in situatiile de interactiune in care unul dintre parteneri asteapta sau pretinde de la celalalt un comportament care nu poate aparea la comanda, ci numai spontan. Faptul de a-l pretinde face imposibila indeplinirea a ceea ce a fost pretins.(s.n.) Manifestarea clinica cea mai importanta a paradoxului "Fii spontan!" rezida, probabil, in interdictia de a fi trist si in mesajul implicit:"Fii fericit!". Dar se dovedeste tot atat de imposibil sa te silesti sa fii fericit, cat sa-ti uiti tristetea la comanda. Persoana careia i se adreseaza acest tip de mesaj sfarseste prin a fi cuprinsa de o cumplita disperare si un sentiment de incapacitate de a face in asa fel, incat sa poata fi aprobata. Pe scurt, ea devine depresiva.(s.n.)
G.Bateson demonteaza in detaliu acest mecanism psihologic al dublei constrangeri- pe care il asaza la baza declansarii/intretinerii simptomului depresiv sau preschizofrenic, in special la copilul "strivit" de divergenta dintre mesajele contradictorii si absurde schimbate intre parinti ("familii schizofrenogene"), ori de cea dintre comportamentul verbal si cel non verbal al unuia si aceluiasi parinte, tema reluata si de D.D.Jackson: "Daca mama este in mod vizibil labila, negandu-si propriile sentimente - in special prin mecanismul care consta in a spune un lucru si a arata altul - se creeaza posibilitatea producerii, la copil, a unei personalitati preschizofrenice. Alte tulburari psihosomatice se mai pot produce in situatia, destul de apropiata de precedenta, in care mama rejecteaza puternic copilul, in timp ce tatal este capabil sa-i arate o afectiune reala, dar instabila." In acelasi sens, descriind interactiunea intrafamiliala in termenii teoriei comunicarii, D.D.Jackson introduce conceptul de homeostazie familiala: "Studiul homeostaziei familiale(.) vizeaza o problema practica, cu care este confruntat psihiatrul: care este efectul produs de catre pacient in familia sa, incepand cu momentul in care intra in cabinetul psihiatric? Mai precis, in cazul unei psihoterapii pe termen lung, psihiatrul trebuie sa tina cont de efectul pe care o schimbare in relatiile interpersonale ale pacientului il poate avea asupra membrilor celor mai apropiati ai familiei sale(s.n.)."
Ulterior, afirma Y.Winkin in prezentarea volumului colectiv La nouvelle communication, Bateson si echipa sa vor revizui si corija ipoteza acestui tip special de constrangere comunicativa- reanalizand-o si insistand asupra faptului ca teoria nu mai trebuie conceputa in termenii unei relatii asimetrice Victima/Calau, ci in aceia de indivizi imobilizati intr-un sistem inchis, si care produce definitii contradictorii ale acestei relatii: "Dubla constrangere devine, progresiv, pentru Bateson, un principiu abstract, care se poate aplica atat artei, umorului si visului, cat si schizofreniei(.) vazand in aceste diferite activitati unul si acelasi proces de creatie fondat pe rasturnarea nivelelor mesajului: comentariul devine text, si viceversa.(.) Bateson va opera astfel o rasturnare totala de perspectiva: nu dubla constrangere este cea care se afla in cadrul sistemului familial, ci sistemul familial se afla in cadrul dublei constrangeri."
CONCLUZII Consecinta tulburatoate a alterarii raportului dintre personalitate si limbaj, patologia comunicarii face, inevitabil, parte din zona interdisciplinaritatii, aplicatiile ei continuand sa capteze un public imens. Alaturi de NLP, AT constituie inca, la peste 50 de ani de la formularea de catre Eric Berne a principalelor ei concepte, una dintre cele mai seducatoare asemenea aplicatii. Copil, Parinte si Adult (simultan ori consecutiv) intr-o proportie sau alta (ceea ce ne si face atat de diferiti!), Salvatori, Victime ori Persecutori (consecutiv ori simultan) initiem Jocuri si Tranzactii pentru a intra, ramane sau iesi intr-o Relatie; indiferent de durata, amploarea, calitatea sau finalitatea acesteia (de la un simplu Buna ziua! la intimitate ori lupta), avem nevoie de ea pur si simplu ca sa supravietuim. Insasi capacitatea noastra de integrare si de rezilienta in interiorul Grupului, succesul sau esecul unei negocieri, a unei afaceri, a unei casnicii, imaginea sociala dezirabila, toate acestea depind de cunoasterea, recunoasterea si aplicarea catorva notiuni elementare de Analiza Tranzactionala.
Alti autori adauga un al treilea Copil: Copilul Rebel, care nu se suprapune complet peste niciuna din celelalte 2 stari.
Mania excesiva neexprimata se transforma in violenta (fizica, verbala, simbolica) si constituie o manipulare care are ca scop influentarea celuilalt prin teama, ceea ce intra in domeniul de exprimare al PC
Egograma - reprezentare grafica, sub forma unei histograme, a diferitelor instante ale personalitatii: PN, PB, A, CA, CL (CR), si a proportiilor lor diferite de la un individ la altul, sau de la o situatie la alta (pentru acelasi individ).
Si Biblia opereaza cu acest tip clasic de maniheism comportamental : BUN vs RAU (inclusiv in viziunea sa post-existentiala - rai vs iad)
Conform studiilor lui Konrad Lorenz (etologist), comportamentul agresiv este innascut, fiind pus in slujba conservarii speciilor. Acest comportament este preprogramat prin adaptari filogenetice, ceea ce inseamna ca un instinct agresiv motiveaza in lupta cu congenerii.
Proiectie - subiectul expulzeaza din sine si localizeaza in alta persoana calitati, sentimente, dorinte proprii.
Rol care, in anumite faze initiatice, de ucenicie, de exemplu, poate favoriza receptivitatea si invatarea.
(Rezolvare: 1/Eu sunt OK-Tu esti OK ; 1/ Idem; 3/ Eu sunt OK- Tu nu esti OK, 4/Eu sunt OK-tu nu esti OK; 5/ Eu nu sunt OK- tu esti OK; 6/ Eu nu sunt OK- Tu nu esti OK; 7/ Eu sunt OK- tu nu esti OK; 8/Eu sunt OK-tu esti OK; 9/ Idem; 10/Idem)
Celebra formula de pseudo-rezolvare a problemelor: "faire plus de la mme chose", denuntata de Paul Watzlawick in Faites vous-mme votre malheur.
(Pentru multe alte tipuri de jocuri va rugam sa consultati traducerea in lb. romana a cartii lui Eric Berne (Games people play): Jocuri pentru adulti, Bucuresti, Ed. Amaltea, 2002 (tema de seminar).
Aceasta instructiune nu este valabila, desigur, in situatiile limita, cand interlocutorul are o arma sau este in superioritate fizica , numerica sau ierarhica, utilizand o pozitie de forta.
In acest caz vorbim de santaj emotional, uneori mai greu de "infruntat" decat violenta fizica propriu-zisa.
Afazie- tulburare a (producerii si/sau comprehensiunii) limbajului oral si/sau scris. P.Broca (1864) descopera legatura dintre tulburarea articulatorie a limbajului fara afectarea comprehensiunii si leziunea care afecteaza baza celei de-a treia circumvolutiuni frontale (sediul imaginilor motrice ale cuvintelor, numita si aria lui Broca); ulterior, C.Wernicke (1885) evidentiaza corelatia dintre tulburarea comprehensiunii independent de articulatia lingvistica si o leziune afectand partea posterioara a primei circumvolutiuni temporale (sediul imaginilor auditive ale cuvintelor, sau aria lui Wernicke). Afazia lui Broca (numita si afazie motrice) este definita prin tulburari ale producerii limbajului - perturbari articulatorii stereotipii, reduceri sau suprimari ale discursului, insa caracterizata prin pastrarea -uneori alterarea- intelegerii verbale afazia lui Wernicke (numita si afazie senzoriala) se caracterizeaza prin tulburarea comprehensiunii limbajului, neinsotita de tulburari articulatorii. Exista, insa, si leziuni care afecteaza ambele arii corticale -aflandu-se la originea afaziilor globale, definite prin tulburari majore de comprehensiune si articulatorii.
N.n.- studiile de psihologie sociala infirma - totusi - aceasta opinie: celebrele experimente ale lui Milgram asupra obedientei, sau cele ale lui Asch asupra conformismului sunt edificatoare ( si zguduitoare); a se consulta, in acest sens, E. Drozda-Senkowska- Psihologie sociala experimentala, Iasi, Polirom,2000
|
Politica de confidentialitate | Termeni si conditii de utilizare |
Vizualizari: 7251
Importanta: ![]()
Termeni si conditii de utilizare | Contact
© SCRIGROUP 2025 . All rights reserved