| CATEGORII DOCUMENTE |
| Demografie | Ecologie mediu | Geologie | Hidrologie | Meteorologie |
Poluantii atmosferici (oxidanti) si impactul lor asupra ecosistemelor. Se vorbeste despre poluarea atmosferica atunci cand "una sau mai multe substante sau amestecuri de substante poluante sunt prezente in atmosfera in cantitati sau pe o perioada care pot fi periculoase pentru om, animale sau plante si contribuie la punerea in pericol sau vatamarea activitatii sau bunastarii persoanelor" (definitie OMS / WHO).
Poluarea atmosferica (si in special prin poluantii atmosferici oxidanti) afecteaza si solul, care este implicit mentionat in definitia de mai sus (asa cum s-a aratat deja solul este indispensabil pentru cresterea si dezvoltarea plantelor, iar existenta umana, inclusiv activitatea si bunastarea persoanelor, depinde si de sol)
Substantele poluante din atmosfera sunt substante gazoase, lichide sau solide. Gazele sunt substante care, in conditii normale (temperatura locala, presiune 1013 hPa) sunt in stare gazoasa, lichefiindu-se la temperatura joasa (condensare), de ex.: CO2, SO2, ozonul (O3). Vaporii sunt gaze care se condenseaza in conditii normale, de ex.: vaporii de apa, substante organice volatile. Presiunea de vapori a unei substante reprezinta presiunea la care un lichid sau un sistem lichid se afla in echilibru cu vaporii formati din respectivul lichid ca urmare a tranzitiei de faza.
Ceata, fumul, praful sunt particule foarte fine de materii (aerosoli) de un diametru de 0,001-100 mm. Ceata este formata din picaturi/ particule de marime variabila. Daca diametrul particulelor nu depaseste 10 mm avem de a face cu o ceata fina (eng. mist), iar daca diametrul este mai de 10 m ceata se denumeste ceata deasa (eng. fog). Cuvantul smog este format pornind de la doua cuvinte englezesti smoke (fum) si fog ceata deasa).
Fumul este un amestec de particule solide si coloidale cu picaturi lichide. Praful (pulberi in suspensie gazoasa) provine din diviziunea materiei fine in particule aproape coloidale, de 10-100 nm.
Emisiile sunt substante eliberate in atmosfera de catre instalatiile industriale (puncte fixe de emisie) sau de catre autovehicule (puncte mobile de emisie). Fixarea unei valori limita pentru emisii se bazeaza pe baza experientei acumulate in timp. Criteriile referitoare la: (i) calitatea aerului, (ii) parametrii masurati pentru aprecierea calitatii aerului (iii) interpretarea parametrilor considerati definitorii pentru calitatea aerului au variat de la o tara la alta. Faptul ca poluarea atmosferica este o poluare globala impune insa armonizarea standardelor de calitate a atmosferei (parametrii masurati si metode de lucru).
O categorie aparte de emisii o reprezinta emisiile atmosferice ale surselor naturale (vulcan, incendii de paduri) care afecteaza de semnificativ (desi pe perioade limitate) parametrii de calitate ai atmosferei.
Poluantii atmosferici au un impact negativ asupra solurilor, pentru ca afecteaza: (i) structura solului si disponibilitate nutrientilor (prin depuneri pe sol) si (ii) calitatea materiei organice, prin modularea negativa a proceselor metabolice din plante si microorganisme esentiale pentru starea de sanatate a "testului viu" din sol.
Poluanti atmosferici primari si activitati economice care genereaza poluantii atmosferici. In fig.1 este prezentata o clasificare generala a tipurilor si surselor de poluare, iar in fig. 2 sunt ilustrate sursele de poluare a aerului si principalii poluanti atmosferici.
Din fig. 2 reiese ca sunt doua tipuri de poluanti, poluantii atmosferici primari (in primul rand oxizi de azot si sulf, dar si compusi organic volatili) si poluanti atmosferici secundari (ozonul si ploile / pulberile acide). Intre cele doua tipuri de poluanti exista o continua inter-corelare. Ozonul troposferic se formeaza prin reactii fotochimice mediate de oxizii de azot si compusii organici volatili (vezi mai departe). Specie moleculara foarte reactiva, ozonul poate (re)forma oxizi de azot in anumite conditii si poate produce (ca urmare a per-oxidarii gruparilor duble din resturilor de acizi grasi din componenta fosfolipidelor incluse in membrana plasmatica) compusi organici volatili (izopren, etena = etilen). Ozonul contribuie de asemene la oxidarea bioxidului de sulf (anhidrida sulfuroasa) la trioxid de sulf (anhidrida sulfurica). Trioxidul de sulf reactioneaza cu apa din nori si formeaza acid sulfuric. Acidul sulfuric (ca si ozonul) mediaza transformarea oxizilor de azot in acid azotic (prin combinare cu apa in nori). Cei doi acizi din nori determina formarea de ploi acide, iar sarurile lor cu bazele slabe din componenta atmosferei (baze organice de obicei) reprezinta pulberi acide (pentru ca in hidrolizeaza la solubilizarea in apa, fiind saruri ale acizilor tari cu baze slabe). Ozonul si ploile acide sunt principalii poluanti atmosferici care afecteaza solul.
Sursele principale de poluanti atmosferici primari antropici (oxizi de sulf si de azot, compusii organici volatili -VHC, VOCx) sunt prezentate in tab.1
Tab. 1. Procese generatoare de poluanti atmosferici
|
Nr. crt. |
Agentul nociv |
Activitati umane generatoare |
|
Bioxid de sulf |
Arderea combustibililor, topitorii, turnatorii, industria chimica. |
|
|
Oxizi de azot |
Explozivi, ingrasaminte, curatare metale, combustii la temperaturi ridicate (inclusiv motoare Diesel) |
|
|
Hidrocarburi volatile (VHC) |
Gaze de esapament, prelucrarea combustibililor. |
|
|
Aldehide (VOC) |
Descompunerea termica a grasimilor si a glicerinei. |
|
|
Compusi organic volatili (VOCx) |
Agricultura (cultivarea plantelor, cresterea animalelor) |

Clasificarea surselor si a tipurilor de poluare
|
|
|
|
|
|
|
|

Fig. 2. Ilustrarea surselor de poluati atmosferici si a tipurilor de poluanti atmosferici .
Principalele surse de poluare industriala sunt:
- Industria siderurgica si metalurgica.
Industria de prelucrare a minereurilor in vederea extragerii componentilor ferosi sau neferosi se bazeaza in special pe procedee de topire si innobilare la temperaturi inalte in urma carora rezulta cantitati extrem de mari de gaze nocive si pulberi.
- Industria petrochimica.
In rafinariile din industria petrochimica apar emisii de hidrocarburi, dioxid de sulf, hidrogen sulfurat, oxizi de carbon alaturi de alti componenti nocivi mai putin importanti. Pe perioada depozitarii produselor, in special a celor rafinate, datorita tensiunii de vapori ridicate sunt posibile emisii, cel mai frecvent de propan si butan.
- Industria materialelor de constructii.
Industria materialelor de constructii elimina mari cantitati de praf si mai putin gaze nocive.
- Industria chimica.
Procesele tehnologice ce se desfasoara in industria chimica conduc la poluarea atmosferei cu diverse substante: oxizi de sulf, hidrogen sulfurat, oxizi de azot, clor, etc.
- Industria miniera.
Ritmul ridicat de exploatare la minele deschise inseamna dislocarea unor cantitati mari de pamant si eliminarea de pulberi solide (inclusiv compusi organici volatili).
- Industria energetica si transporturile.
Industria energetica si transporturile, sub aspect cantitativ, se situeaza pe primul loc al surselor de emisii de gaze nocive datorita faptului ca toate industriile necesita cantitati mari de energie, iar obtinerea ei prin combustie este legata de generarea de cantitati imense de gaze reziduale (dioxid de sulf, oxizi de azot, oxizi de carbon), praf si fum.
Solutia clasica de control a emisiilor de gaze in cazul instalatiilor industriale a fost cea a diluarii emisiilor pin injectarea lor la inaltime (cosuri de zeci si sute de metri). In functie de inaltimea cosurilor si de conditiile atmosferice, gazele poluante provenind din procesele industriale se propaga local sau la distante medii / mari. In cazul marilor termocentrale de exemplu propagarea gazelor poluante este pe distante mari (transfontaliere) efectele fiind intinse la scara regionala (zone continentale - poluarea aerului indusa de termocentralele din Germania se propaga la nivelul intregii Europe centrale).
O situatie deosebita este cea a motoarelor de autovehicule, din ce in ce mai numeroase. Mai ales motoarele diesel produc cantitati semnificative de bioxid de sulf (din sulful din motorina), oxizi de azot (datorita temperaturii ridicate de ardere) si particule de hidrocarburi nearse (fum). O prezentare comparativa a principalelor surse de poluare atmosferica este prezentata in fig. 3,4,5. Concluzia care reiese din aceste figuri este ca bioxidul de sulf rezulta din impuritatile combustibililor, iar VOCx si oxizii de azot din specificul proceselor de combustie la temperaturi inalte.

Fig. 3. Principalele surse de poluare cu oxizi de azot in atmosfera

Fig. 4. Principalele surse de poluare cu oxizi de sulf in
atmosfera

Fig.5. Principalele surse de compusi organici volatili din atmosfera.
Poluanti atmosferici secundari. Un caz aparte de poluare atmosferica este cel al smogului fotochimic. Ozonul, oxizii de azot si hidrocarburile sunt substante precursoare ale smogului fotochimic (tip Los Angeles). Acest tip de smog se formeaza deasupra marilor orase cu circulatie intensa, si c grad mare de insorire. Inca de la primele ore ale zilei, aerul se imbogateste in oxid de azot (NO si NO2) intr-un amestec de numeroase hidrocarburi (alcani, hidrocarburi aromatice), provenind din gaze de esapament ale vehiculelor si din emisiile instalatiilor industriale. Din aceste gaze se formeaza ozonul, care se acumuleaza si formeaza apoi cu particulele in suspensie un smog dens, iritant, cu actiune distrugatoarea asupra organismelor.
Acest tip de smog a fost primul tip de fenomen daunator care a permis intelegerea formarii poluantilor atmosferici secundari si a efectelor daunatoare ale acestor poluanti atmosferici (mai daunatoare decat cele ale poluantilor atmosferici primari).
Ozonul troposferic (cel situat in stratul de atmosfera cuprins intre 0 si 10 km) se formeaza ca urmare a actiunii combinate a oxizilor de azot si a hidrocarburilor ciclice aromatice. Ozonul troposferic (spre deosebire de cel stratosferic, situat la inaltimea de 40 km, care este indispensabil vietii pe pamant, retinand radiatiile ultraviolete daunatoare) este un compus foarte daunator, datorita reactivitatii sale ridicate (potential oxidant foarte pronuntat).
Reactiile fotochimice implicate in formarea ozonului sunt prezentate in fig. 6.

Fig. 6. Reactiile fotochimice din atmosfera care duc la formarea ozonului
Este de subliniat inca o data ca formarea ozonului implica existenta / acumularea concomitenta a trei factori: (i) oxizi de azot (care pot fi generati si natural datorita energiei descarcarilor electrice), (ii) compusi organici volatili (care de asemenea se formeaza natural din plante) si radiatii solare intense. Cresterea concentratiei de ozon troposferic in ultimii ani se datoreaza faptului ca activitatile umane au crescut concentratia de NOx si de VOCx din atmosfera.
Alti poluanti atmosferici secundari care se formeaza in atmosfera sunt "ploile acide". Sub termenul de 'ploi acide' sau 'precipitatii acide' se includ toate tipurile de precipitatii - ploaie, zapada, lapovita, ceata, ale caror pH este mai mic decat pH-ul apei naturale de ploaie (care este de obicei 5,6). pH-ul slab acid al apei de ploaie se datoreaza faptului ca particulele de ploaie inglobeaza si bioxid de carbon (CO2 - anhidrida carbonica), Bioxidul de carbon intra in reactie cu apa din precipitatiile atmosferice: CO2+H2O H2CO3, dar fiind un acid foarte slab nu poate determina reducerea semnificativa a pH-ul al apei de ploaie .
Ploaia acida se formeaza ca rezultat al reactiilor din nori in care sunt implicati oxizii de azot si de sulf. Asa cum s-a aratat deja ozonul contribuie la oxidarea bioxidului de sulf la trioxid de sulf si la formarea in final de ploi acide.
Asa cum s-a aratat solul este afectat mai ales de poluantii atmosferici secundari, ozon si ploi acide/pulberile acide. In cele ce urmeaza vor fi discutate unele din mecanismele implicate in aceste efecte.
Influenta negativa a ozonului troposferic asupra proceselor biologice necesare mentinerii functionalitatii solurilor. Ozonul este o forma alotropica a oxigenului inalt reactiva datorita unei structuri instabile cu electroni singlet:

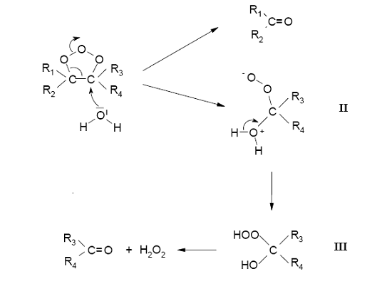
Aceasta structura foarte reactiva genereaza in reactiile sale o serie intreaga de forme activate ale oxigenului (ROS - reactive oxygen species = specii de oxigen reactiv, denumite impropriu si radicali liberi). In sistemele biologice ozonul reactioneaza cu toate legaturile duble din lanturile de carbon:

Peroxidul format este instabil in solventi protonati (ca apa) si se descompune cu formarea unor ceto-derivati si a apei oxigenate (prima specie moleculara dintr-o lunga serie de specii moleculare reactive ale oxigenului):

Deci ozonul este foarte distrugator pentru structurile celulare cu care contin legaturi duble in lanturile de carbon (si in special membrane celulare si acizi nucleici). Pentru a contracara actiunea distrugatoare a ozonului (si a ROS generate din actiunea ozonului) sistemele biologice si-au dezvoltat o serie intreaga de mecanisme de protectie, in care sunt folositi anti-oxidanti specifici. In tab. 2 sunt prezentate acesti anti-oxidanti

Cresterea concetratiei de ozon troposferic in ultimele decenii a depasit insa capacitatea de aparare impotriva ROS a sistemelor biologice. Afectarea sistemelor membranare face ca ozonul sa influenteze negativ procesele de fotosinteza si de fixare biologica a azotului (procese dependente de structuri membranare).
Procesele de fotosinteza si de fixare a azotului sunt procese fundamentale pentru ciclurile fundamentale din sol (de carbon si energie si de azot), inclusiv pentru formarea si mentinerea unei materii organice de calitate in sol. In final functionalitatea solurilor (pentru asigurarea cresterii si dezvoltarii plantelor) devine necorespunzatoare.
Reducerea fertilitatii solurilor agricole, alaturi de daunele directe asupra plantelor produc pagube importante culturilor agricole. Studiile in camere de camp deschise (open top field chambers) cu atmosfera controlata, ca si tratamentele de camp cu etilen-tiouree (substanta care reduce efectul ozonului) au aratat ca ozonul troposferic determina pierderi ale culturilor agricole din SUA de aproape 1 miliard de dolari.
Ploile acide si degradarea solurilor. Ploile acide isi exercita actiunea daunatoare asupra solului pe diferite cai (care sunt ilustrate in fig. 7);
actiuni directe asupra frunzelor (arsuri, reducerea cuticulei si cresterea pierderilor de apa) care duc la reducerea fotosintezei si incetinirea cresterii;
spalarea nutrientilor din sol ca urmare a acidifierii; blocarea schimbului ionic ca urmare a reducerii pH-ului;
reducerea biodisponibilitatii apei legate de argile;
solubilizarea elementelor toxice din sol (Al, Hg);
reducerea activitatii bacteriilor utile din sol
stimularea activitatii ciupercilor fitopatogene.
Dezechilibrele induse de ploile acide in ecosisteme (in special in ecosistemele forestiere) duc la distrugerea copacilor pe suprafete mari (germ. waldsterben = pierirea padurii). Denumirea germana a fenomenului se datoreaza faptului ca fenomenul ploilor acide a fost semnalat pentru prima data in Germania la inceputul anilor '70 ai secolului trecut. In fig. 8 este prezentat aspectul unei paduri afectate de ploile acide.

Fig. 8. Padure afectata de ploile acide in Slovacia.
Padurile sunt cele mai afectate de fenomenele de degradare a solului sub actiunea ploilor acide pentru ca: (i) sunt formate din plante perene, care integreaza in ciclul lor de viata impactul toxicelor si (ii) solurile formate de paduri sunt general caracterizate prin aciditate, ploile acide imping pH-ul solului pana dincolo de valoarea care mai permite desfasurarea optima a proceselor biologice din sol. Fenomenul degradarii solului sub actiunea ploilor acide este prezent insa si in cazul culturilor agricole, dar in aceste situatii amendamentele / amelioratorii de sol imbunatatesc situatia sub raportul pH-ului.
Actiunea nefavorabila a poluantilor atmosferici (si mai ales a celor secundari) asupra solului si a mediul a determinat stabilirea unor limite maxime admisbile ale concentratiilor acestor poluanti in aer si a impus anumite standarde de emisie poluatorilor antropici (instalatii industriale si mijloace de transport).
Solutii tehnologice de reducere a emisiilor de agenti oxidanti. Aceste solutii tehnologice sunt in esenta urmatoarele: (i) de precombustie (ca de ex. inlaturarea sulfului din carbunii arsi in termocentrale sau din motorina); de control al combustiei (pentru a reduce formarea oxizilor de azot si compusilor organici volatili) sau de post-combustie (ca de ex. tobele catalitice ale autoturismelor.).
Inlaturarea sulfului din carbuni, inainte de ardere, se realizeaza prin gazeifiere. Carbunii sunt transformati in gaz de sinteza prin tratare cu apa:
C+ H2O CO + H2
Sulful se separa prin racire, iar gazul de sinteza se arde in turbine cu gaz pentru a se genera curent electric. Caldura reziduala de la turbinele cu gaz se foloseste pentru producere de abur, iar aburul se apoi se foloseste pentru producerea de energie electrica.
Schema unei astfel de instalatii, de producere de energie electrica prin gazeifiere carbunilor este prezentata in fig.9.
Procedeele de desulfurare a gazelor de ardere (postcombustie) sunt la temperaturi ridicate (prin adsorbtie pe site moleculare zeolitice) si la temperatura joasa.
Procedeele la temperaturi joase se caracterizeaza prin absorbtia oxizilor de sulf intr-o solutie alcalina (pe baza de hidroxid de calciu, magneziu, sodiu, amoniu), obtinandu-se ca produsi finali sulfatii corespunzatori.
Solubilitatea dioxidului de sulf in apa este mica, ea scazand cu cresterea temperaturii.
In timpul absorbtiei in apa are loc un proces de hidroliza, conform ecuatiei:
SO2 + H2O H+ + HSO-3
Pentru a creste gradul de absorbtie al SO2 in solutii apoase este necesara introducerea in sistemul de absorbtie a unei substante care sa indeparteze protonul (H+), sau sa lege anionul bisulfitic (H SO3-). Pentru aceasta se folosesc solutiile unor substante cu caracter bazic.
Procesul de absorbtie a SO2 in solutii alcaline este un proces heterogen, in majoritatea cazurilor, reactia chimica are loc in faza lichida, iar cel putin unul din reactanti provine din faza gazoasa.
Pentru hidrocarburile cu un continut ridicat de sulf s-au utilizat diverse metode de indepartare a sulfului in vederea obtinerii emisiilor reduse de oxizi de sulf. Printre acestea se numara:
Aditivitatea motorinei prin folosirea aditivilor de combustie care au rolul de a reactiona cu dioxidul de sulf din gazele de ardere si de a forma produse slab active sub raport coroziv;
Metoda petrochimica, de indepartare a compusilor cu sulf prin rafinare.
Reducerea oxizilor de azot se realizeaza fie prin proiectarea speciala a camerelor de ardere din motoare, fie prin intermediul unor tobe catalitice,
In cadrul tobelor catalice are loc un proces combinat redox, de reducere a oxizilor de azot la azot si de oxidare a monoxidului de carbon si a compusilor organic volatili la bioxid de carbon si apa
Etapa 1: reducerea NOx N2
Etapa 2: oxidare CO CO2; VOCx --> CO2 + H2O
Pentru ca toba catalitica sa functioneze in conditii optime este necesar ca amestecul de gaze care intra in cilindrii motorului cu ardere interna sa fie in raport stoichiometric. Din acest motiv in toba catalitica se regaseste o sonda lambda (un senzor de oxigen) care informeaza sistemul de management al motorului despre continutul de oxigen din gazele de ardere. Microprocesorul controleaza procesul de ardere / respectarea stoichiometriei reactiei prin injectarea unor cantitati precis determinate de combustibil.
Imbunatatirea proceselor de ardere este o preocupare continua a proiectantilor de instalatii industriale energetice si de motoare pentru autoturisme. In cazul motoarelor pentru autoturisme solutiile de imbunatatirea combustiei (pentru cresterea randamentului motoarelor si pentru reducerea emisiilor de gaze poluante) includ: supraalimentarea cu aer (cu ajutorul unor turbine antrenate de gazele de ardere sau a unor compresoare mecanice antrenate de motor); cresterea presiunii de injectie (pana la 2100 bari in cazul motoarelor cu pompa-duza si pana la 1600 bari in cazul motoarelor cu rampa comuna); modificarea geometriei camerelor de ardere; cresterea numarului de supape si imbunatatirea formei lor. Una din dezvoltarile motorului Diesel este arderea la temperaturi mai joase, la care formarea oxizilor de azot este redusa.
Aplicarea in practica a tuturor acestor masuri a dus la reducerea poluarii atmosferice cu anumiti compusi (bioxid de sulf, pulberi in suspensie) sau la plafonarea tendintei de crestere (oxizi de azot, VOCx, ozon). Implicit in ultimii ani impactul poluarii atmosferice asupra solurilor s-a redus semnificativ, evidentiindu-se o tendinta usoara de refacere a solurilor degradate sub impactul ploilor acide. Problema ozonului troposferic ramane actuala, fiind necesare noi eforturi pentru solutionare.

Fig.7. Afectarea solului si a plantelor ca urmare a precipitatiilor acide si a depunerilor acide

Fig. 8. Inlaturarea sulfului din carbunii energetici prin gazeifiere.
|
Politica de confidentialitate | Termeni si conditii de utilizare |
Vizualizari: 7064
Importanta: ![]()
Termeni si conditii de utilizare | Contact
© SCRIGROUP 2025 . All rights reserved