| CATEGORII DOCUMENTE |
Calculatoare si tehnologia informatiei
DE ASDN (PLDN)
Cerinte
Sa se minimizeze functia f = (C * D + C * D ) ( A * B + A * B) + ABC
si sa se implementeze cu porti logice de tip SI, SAU, NU, SI-NU, SAU-NU, utilizand un numar minim de porti si circuite integrate.
Aspecte teoretice
Algebra Booleana (proprietati si relatii)
O algebra booleana este un ansamblu <M,+,*,=> format din multimea suport M cu un numar finit de elemente, operatia binara SAU notata cu simbolul +, operatia binara SI notata cu simbolul * si o relatie echivalenta intre elementele multimii M, notata cu simbolul =, daca sunt indeplinite urmatoarele 6 axiome:


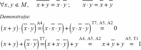
Legile lui D`Morgan

Tabel de adevar si diagrama pentru patru variabile
Rezolvare
f = ( C * D + C * D) + ( A * B + A * B) + ABC
f = CD +CD +AB+AB+ABC
TABEL DE ADEVAR
|
A |
B |
C |
D |
F |
|
| ||||
DIAGRAMA
Rezulta aceasta functie: α= AB + AB + CD + CD
DESEN
BIBLIOGRAFIE
1. Rustem POPA - "Curs de ASDN"
ANEXE
|
Politica de confidentialitate | Termeni si conditii de utilizare |
Vizualizari: 2123
Importanta: ![]()
Termeni si conditii de utilizare | Contact
© SCRIGROUP 2025 . All rights reserved